Последно актуализиране :
27/04/2026
Антибиотик   Clindamycin phosphate  
Инжекция/Инжекционен
Стабилност на разтвори Стабилност на смеси Фактори, повлияващи стабилността Съвместимост Път на въвеждане Библиография Pdf
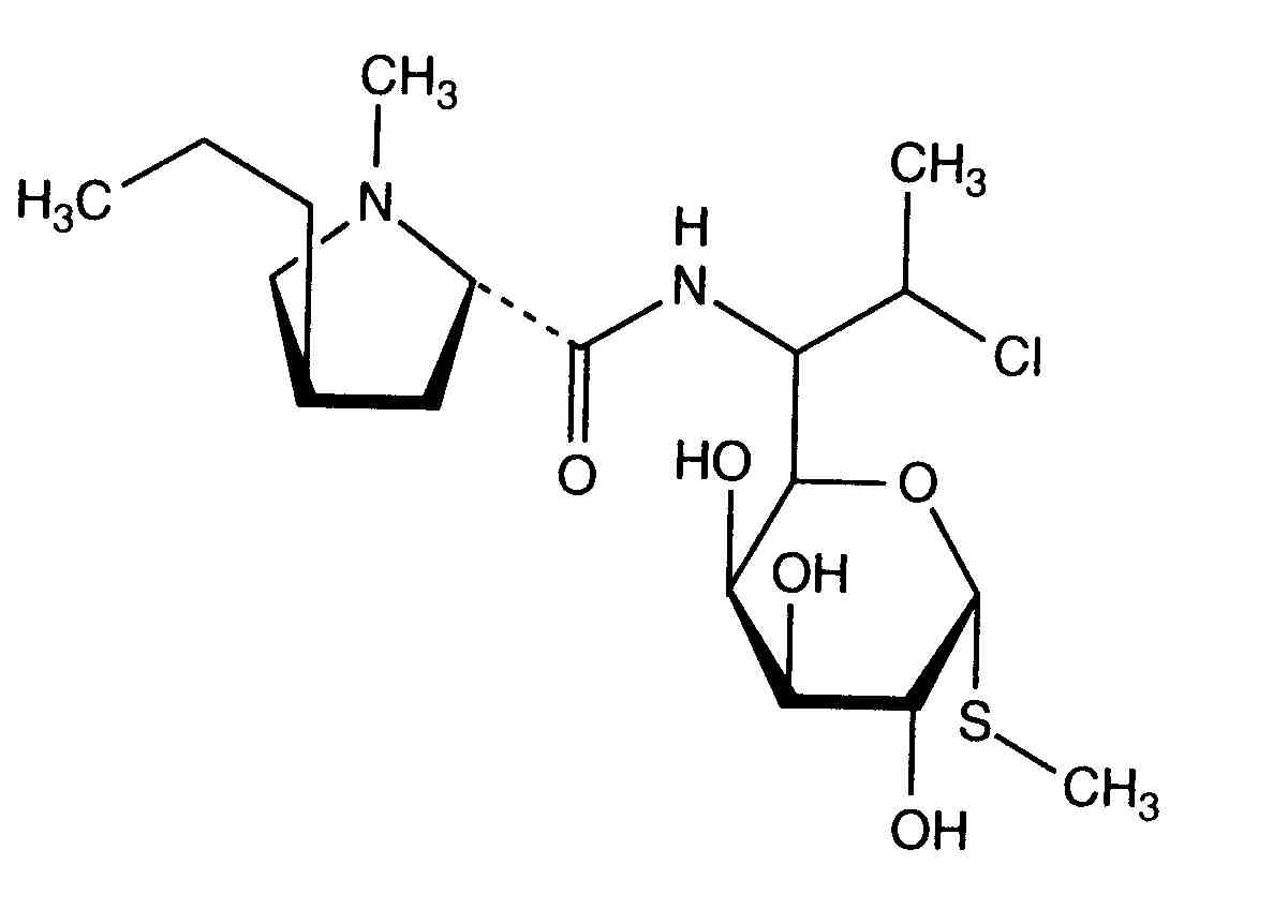
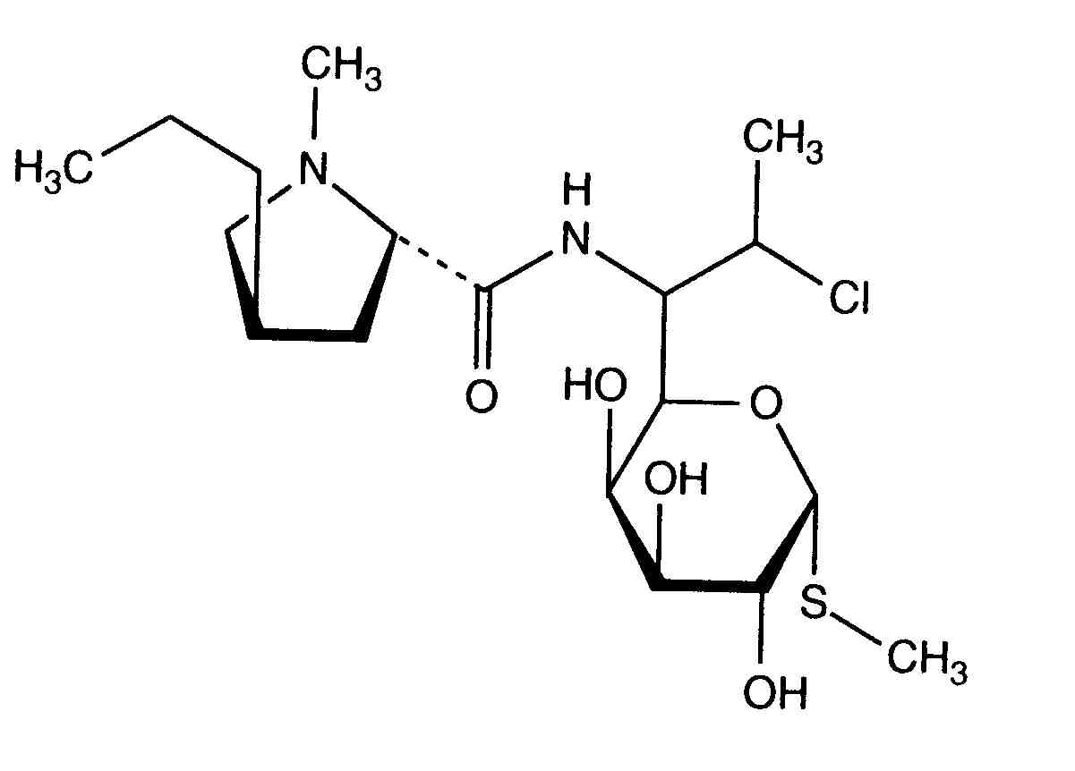
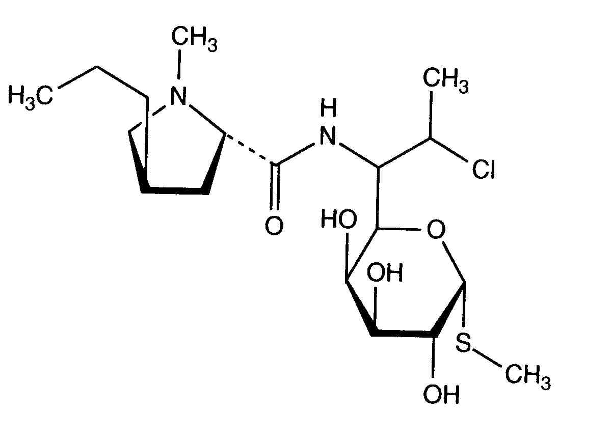
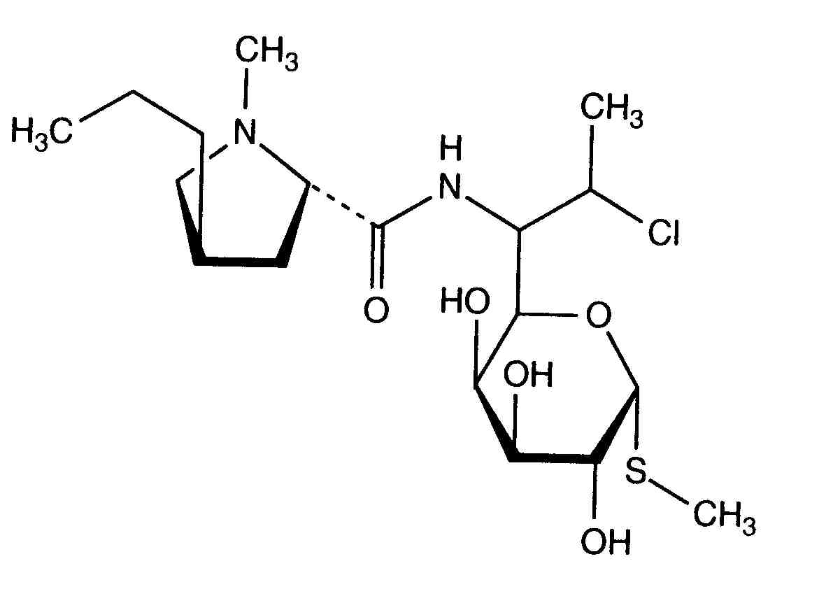
   Химична структура  

Търговско наименование   Търговско наименование     

Търговските имена са примерни и съставът на помощните вещества може да бъде различен в зависимост от държавата и лабораториите

Biodaclin Мексико
Camyda Индия
Cinbiot Мексико
Cleocin Австрия, Съединени Американски щати / САЩ, Турция
Clinamsa Мексико
Clinbac Колумбия, Перу
Clincina Португалия
Clinda-Saar Германия
Clindacid Венецуела
Clindacin Малайзия
Clindalaf Аржентина
Clindamicina Аржентина, Бразилия, Венецуела, Еквадор, Испания, Италия, Колумбия, Мексико, Перу, Португалия, Чили
Clindamycin Австрия, Германия, Иран, Канада, Норвегия, Румъния, Саудитска Арабия, Съединени Американски щати / САЩ, Швеция
Clindamycin-Hameln Германия
Clindamycine Белгия, Тунис, Франция, Холандия
Clindanovag Аржентина
Clindarix Бразилия
Clindasol Германия
Clindaval Венецуела
Clindazyn Мексико
Clindo Полша
Clysvic Мексико
Daclin Чили
Dalacin Австралия, Белгия, Великобритания, Венецуела, Гърция, Дания, Египет, Еквадор, Индия, Иран, Ирландия, Исландия, Италия, Канада, Колумбия, Люксенбург, Малайзия, Мексико, нова Зеландия, Норвегия, Обединени арабски емирства, Полша, Саудитска Арабия, Тунис, Унгария, Финландия, Холандия, Чили, Швейцария, Швеция
Dalacine Тунис, Франция
Daladic Иран
Dalcinex Индия
Damclid Индия
Damicin Колумбия, Мексико
Damicine Колумбия
Dolarclin Колумбия
Euroclin Еквадор, Колумбия
Gynasafe Индия
Indamid Мексико
Klimicin Полша
Klindan Турция
Klindaver Турция
Lanacine Австрия
Lincocin Малайзия
Lincosa Малайзия
Meneklin Турция
Sobelin Германия
Tidact Малайзия
Път на въвеждане   Път на въвеждане :Clindamycin phosphate     
Voie
Интравенозна инфузия
Продължителна инфузия
Интрамускулно

  Mentions Légales