最新更新 :
27/11/2025
抗生素   Clindamycin phosphate  
注射液
溶液稳定性 混合物稳定性 影响稳定性的因素 兼容性 用药途径 引用文献 PDF
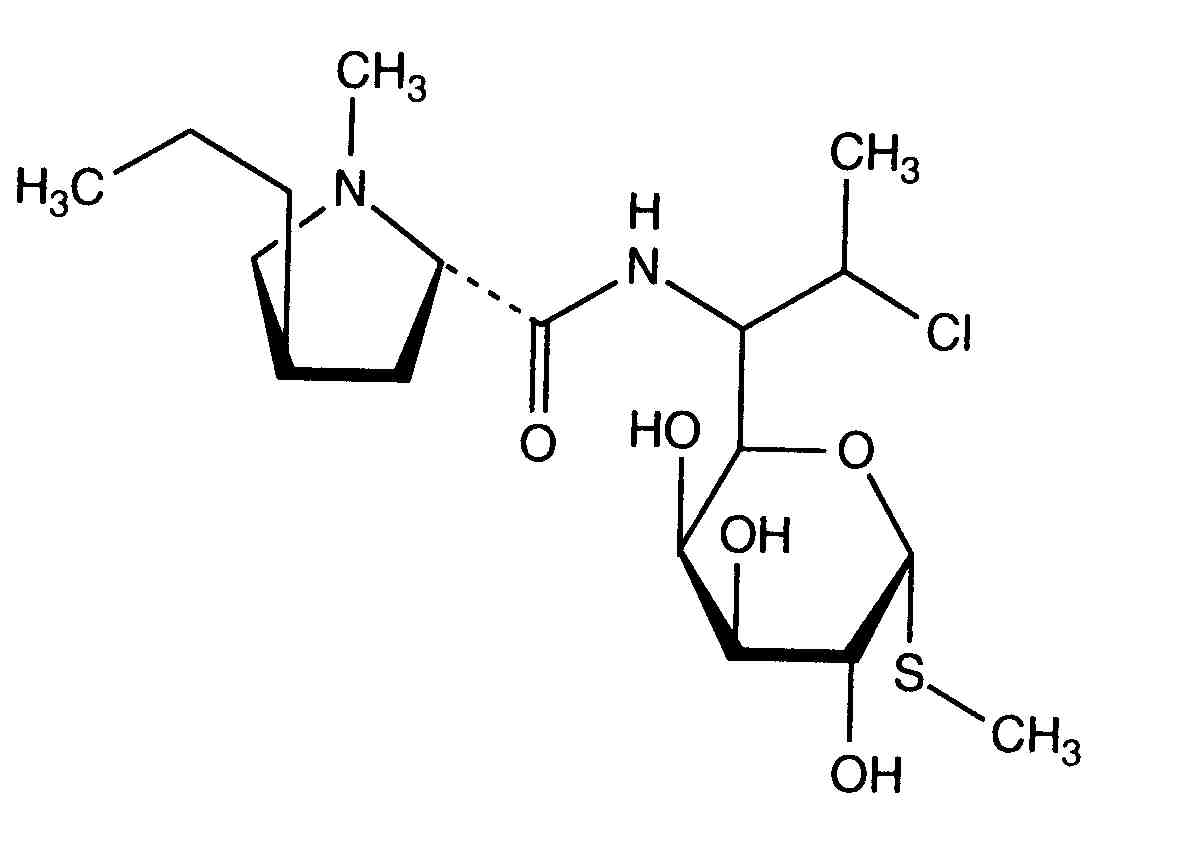
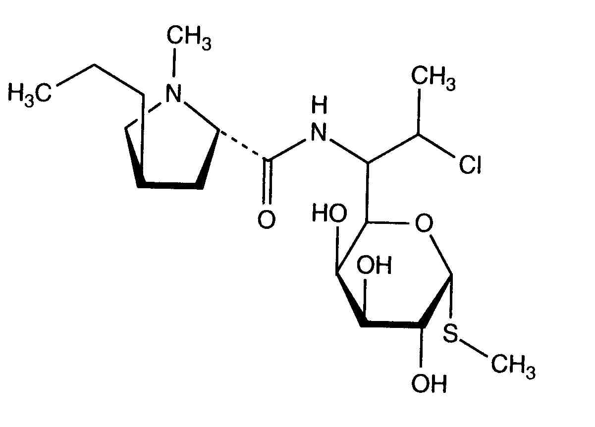
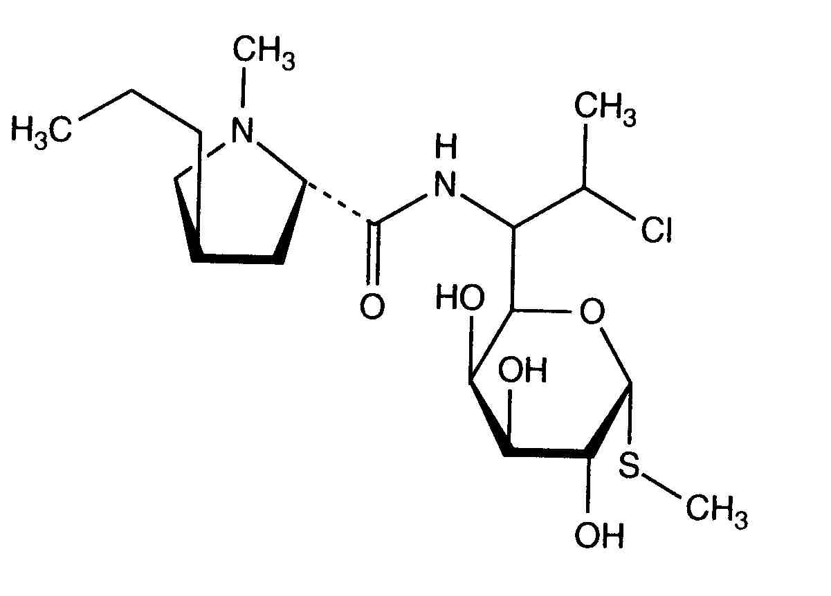
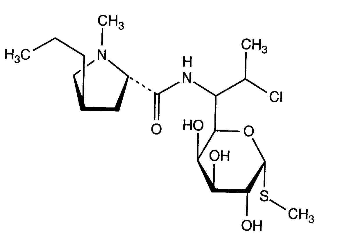
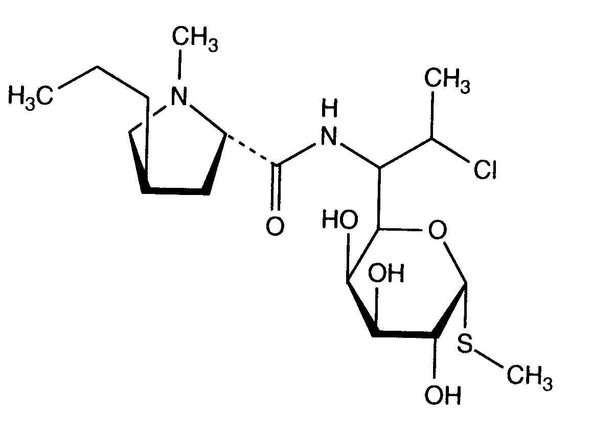
   化学式  

商品名   商品名     

商品名仅供参考, 药品所用的辅料可能依国家或厂商不同有所不同。

Biodaclin 墨西哥
Camyda 印度
Cinbiot 墨西哥
Cleocin 土耳其, 奥地利, 美国
Clinamsa 墨西哥
Clinbac 哥伦比亚, 秘鲁
Clincina 葡萄牙
Clinda-Saar 德国
Clindacid 委内瑞拉
Clindacin 马来西亚
Clindalaf 阿根廷
Clindamicina 厄瓜多尔, 哥伦比亚, 墨西哥, 委内瑞拉, 巴西, 意大利, 智利, 秘鲁, 葡萄牙, 西班牙, 阿根廷
Clindamycin 伊朗, 加拿大, 奥地利, 德国, 挪威, 沙特阿拉伯, 瑞典, 罗马尼亚, 美国
Clindamycin-Hameln 德国
Clindamycine 比利时, 法国, 突尼斯, 荷兰
Clindanovag 阿根廷
Clindarix 巴西
Clindasol 德国
Clindaval 委内瑞拉
Clindazyn 墨西哥
Clindo 波兰
Clysvic 墨西哥
Daclin 智利
Dalacin 丹麦, 伊朗, 冰岛, 加拿大, 匈牙利, 卢森堡, 印度, 厄瓜多尔, 哥伦比亚, 埃及, 墨西哥, 委内瑞拉, 希腊, 意大利, 挪威, 新西蘭, 智利, 比利时, 沙特阿拉伯, 波兰, 澳大利亚, 爱尔兰, 瑞典, 瑞士, 突尼斯, 芬兰, 英国, 荷兰, 阿联酋, 马来西亚
Dalacine 法国, 突尼斯
Daladic 伊朗
Dalcinex 印度
Damclid 印度
Damicin 哥伦比亚, 墨西哥
Damicine 哥伦比亚
Dolarclin 哥伦比亚
Euroclin 厄瓜多尔, 哥伦比亚
Gynasafe 印度
Indamid 墨西哥
Klimicin 波兰
Klindan 土耳其
Klindaver 土耳其
Lanacine 奥地利
Lincocin 马来西亚
Lincosa 马来西亚
Meneklin 土耳其
Sobelin 德国
Tidact 马来西亚
用药途径   用药途径 :Clindamycin phosphate     
路线
静脉输液
持续输液
肌肉内

  Mentions Légales