Última actualización :
27/04/2026
Antibiótico   Clindamycin phosphate  
Inyectables
Estabilidad en solucion Estabilidad en mezcla Factores que influyen sobre la estabilidad Compatibilidades método de inyección Bibliografía pdf
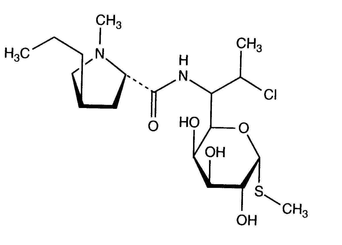
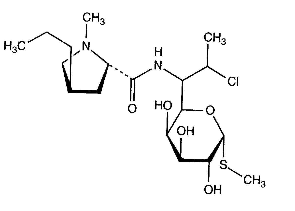
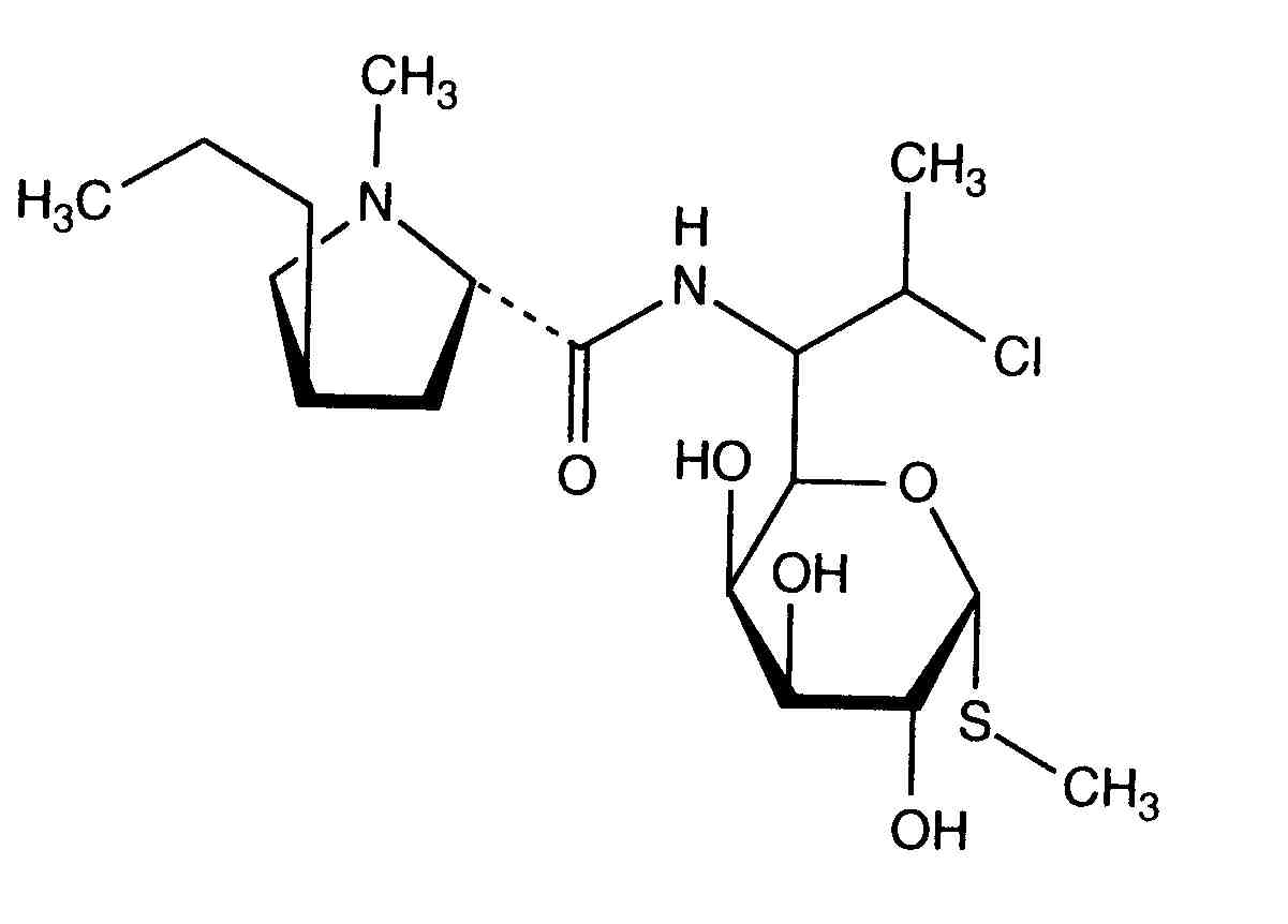
   Estructura química  

Nombre comercial   Nombre comercial     

Los nombres comerciales son orientativos y los excipientes de la formulación pueden ser distintos dependiendo del país y del laboratorio fabricante.

Biodaclin México
Camyda India
Cinbiot México
Cleocin Austria, Estados Unidos de América, Turquía
Clinamsa México
Clinbac Colombia, Marruecos
Clincina Portugal
Clinda-Saar Alemania
Clindacid Venezuela
Clindacin Malasia
Clindalaf Argentina
Clindamicina Argentina, Brasil, Chile, Colombia, Ecuador, España, Italia, Marruecos, México, Portugal, Venezuela
Clindamycin Alemania, Arabia Saudita, Austria, Canadá, Estados Unidos de América, Irán, Noruega, Rumania, Suecia
Clindamycin-Hameln Alemania
Clindamycine Bélgica, Francia, Países Bajos, Túnez
Clindanovag Argentina
Clindarix Brasil
Clindasol Alemania
Clindaval Venezuela
Clindazyn México
Clindo Polonia
Clysvic México
Daclin Chile
Dalacin Arabia Saudita, Australia, Bélgica, Canadá, Chile, Colombia, Dinamarca, Ecuador, Egipto, Emiratos Árabes Unidos, Finlandia, Gran Bretaña, Grecia, Hungría, India, Irán, Irlanda, Islandia, Italia, Luxemburgo, Malasia, México, Noruega, Nueva Zelanda, Países Bajos, Polonia, Suecia, Suiza, Túnez, Venezuela
Dalacine Francia, Túnez
Daladic Irán
Dalcinex India
Damclid India
Damicin Colombia, México
Damicine Colombia
Dolarclin Colombia
Euroclin Colombia, Ecuador
Gynasafe India
Indamid México
Klimicin Polonia
Klindan Turquía
Klindaver Turquía
Lanacine Austria
Lincocin Malasia
Lincosa Malasia
Meneklin Turquía
Sobelin Alemania
Tidact Malasia
método de inyección   método de inyección :Clindamycin phosphate     
Voie
Perfusión intravenosa
Perfusión continua
Intramuscular

  Mentions Légales