Ultimo aggiornamento :
27/11/2025
Antibiotico   Clindamycin phosphate  
Iniezione
Stabilità in soluzione Stabilità in miscela Fattori che influenzano la stabilità Compatibilità metodo di iniezione Bibliografia pdf
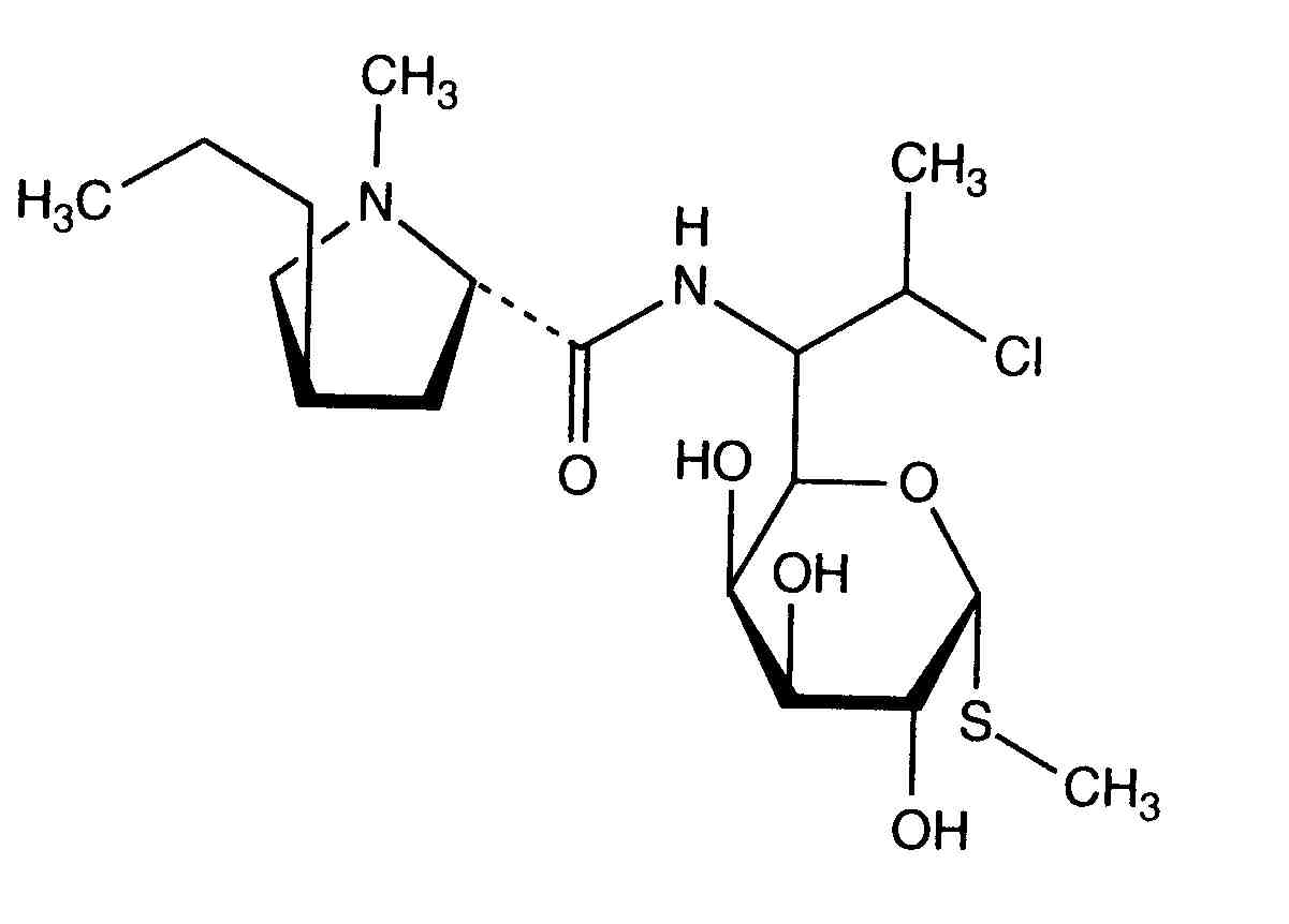
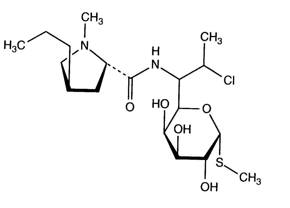
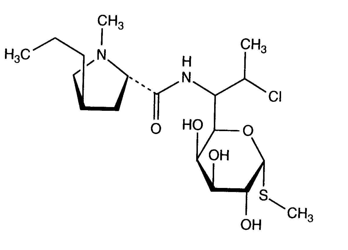
   Struttura chimica  

Nome commerciale   Nome commerciale     

Trade names are indicative and excipients composition can be different depending on the country and manufacturers

Biodaclin Messico
Camyda India
Cinbiot Messico
Cleocin Austria, Stati Uniti d’America, Turchia
Clinamsa Messico
Clinbac Colombia, Perù
Clincina Portogallo
Clinda-Saar Germania
Clindacid Venezuela
Clindacin Malaysia
Clindalaf Argentina
Clindamicina Argentina, Brasile, Chile, Colombia, Ecuador, Italia, Messico, Perù, Portogallo, Spagna, Venezuela
Clindamycin Arabia Saudita, Austria, Canada, Germania, Iran, Norvegia, Romania, Stati Uniti d’America, Svezia
Clindamycin-Hameln Germania
Clindamycine Belgio, Francia, Paesi Bassi, Tunisia
Clindanovag Argentina
Clindarix Brasile
Clindasol Germania
Clindaval Venezuela
Clindazyn Messico
Clindo Polonia
Clysvic Messico
Daclin Chile
Dalacin Arabia Saudita, Australia, Belgio, Canada, Chile, Colombia, Danimarca, Ecuador, Egitto, Emirati Arabi Uniti, Finlandia, Gran Bretagna, Grecia, India, Iran, Irlanda, Islanda, Italia, Lussemburgo, Malaysia, Messico, Norvegia, nuova Zelanda, Paesi Bassi, Polonia, Svezia, Svizzera, Tunisia, Ungheria, Venezuela
Dalacine Francia, Tunisia
Daladic Iran
Dalcinex India
Damclid India
Damicin Colombia, Messico
Damicine Colombia
Dolarclin Colombia
Euroclin Colombia, Ecuador
Gynasafe India
Indamid Messico
Klimicin Polonia
Klindan Turchia
Klindaver Turchia
Lanacine Austria
Lincocin Malaysia
Lincosa Malaysia
Meneklin Turchia
Sobelin Germania
Tidact Malaysia
metodo di iniezione   metodo di iniezione :Clindamycin phosphate     
Voie
Flebo endovenosa
Flebo continua
Intramuscolare

  Mentions Légales