Τελευταία ενημέρωση :
27/04/2026
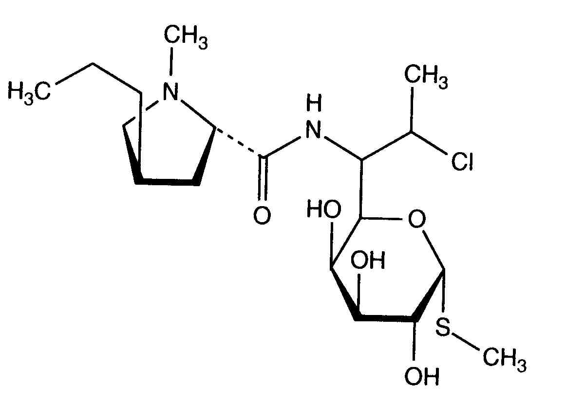
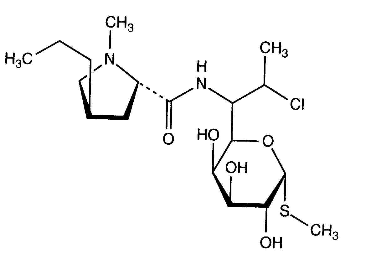
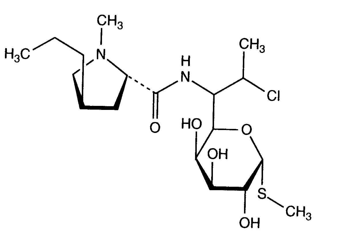
Αντιβιοτικό   Clindamycin phosphate  
Ενέσιμο
Σταθερότητα διαλυμάτων Σταθερότητα σε μίγματα Παράγοντας που επηρεάζει τη σταθερότητα Συμβατότητες Τρόπος χορήγησης Βιβλιογραφία pdf
   χημική δομή  

Εμπορική ονομασία   Εμπορική ονομασία     

Οι εμπορικές ονομασίες είναι ενδεικτικές και η σύνθεση των εκδόχων μπορεί να διαφέρει ανάλογα με τη χώρα και τα εργαστήρια

Biodaclin Μεξικό
Camyda Ινδία
Cinbiot Μεξικό
Cleocin Αυστρία, Η.Π.Α., Τουρκία
Clinamsa Μεξικό
Clinbac Κολομβία, Περού
Clincina Πορτογαλία
Clinda-Saar Γερμανία
Clindacid Βενεζουέλα
Clindacin Μαλαισία
Clindalaf Αργεντινή
Clindamicina Αργεντινή, Βενεζουέλα, Βραζιλία, Εκουαδόρ, Ισπανία, Ιταλία, Κολομβία, Μεξικό, Περού, Πορτογαλία, Χιλή
Clindamycin Αυστρία, Γερμανία, Η.Π.Α., Ιράν, Καναδάς, Νορβηγία, Ρουμανία, Σαουδική Αραβία, Σουηδία
Clindamycin-Hameln Γερμανία
Clindamycine Βέλγιο, Γαλλία, Ολλανδία, Τυνησία
Clindanovag Αργεντινή
Clindarix Βραζιλία
Clindasol Γερμανία
Clindaval Βενεζουέλα
Clindazyn Μεξικό
Clindo Πολωνία
Clysvic Μεξικό
Daclin Χιλή
Dalacin Yhdistyneet arabiemiirikunnat, Αίγυπτος, Αυστραλία, Βέλγιο, Βενεζουέλα, Δανία, Εκουαδόρ, Ελβετία, Ελλάδα, Ινδία, Ιράν, Ιρλανδία, Ισλανδία, Ιταλία, Καναδάς, Κολομβία, Λουξεμβούργο, Μαλαισία, Μεγάλη Βρετανία, Μεξικό, νέα Ζηλανδία, Νορβηγία, Ολλανδία, Ουγγαρία, Πολωνία, Σαουδική Αραβία, Σουηδία, Τυνησία, Φινλανδία, Χιλή
Dalacine Γαλλία, Τυνησία
Daladic Ιράν
Dalcinex Ινδία
Damclid Ινδία
Damicin Κολομβία, Μεξικό
Damicine Κολομβία
Dolarclin Κολομβία
Euroclin Εκουαδόρ, Κολομβία
Gynasafe Ινδία
Indamid Μεξικό
Klimicin Πολωνία
Klindan Τουρκία
Klindaver Τουρκία
Lanacine Αυστρία
Lincocin Μαλαισία
Lincosa Μαλαισία
Meneklin Τουρκία
Sobelin Γερμανία
Tidact Μαλαισία
Τρόπος χορήγησης   Τρόπος χορήγησης :Clindamycin phosphate     
Voie
Ενδοφλέβια έκχυση
Συνεχής έκχυση υγρού
Ενδομυϊκή

  Mentions Légales