最新更新 :
27/04/2026
抗菌薬   Clindamycin phosphate  
注射薬
溶媒内の安定性 混合時の安定性 安定性に影響する因子 互換性 投与経路 引用文献 PDF
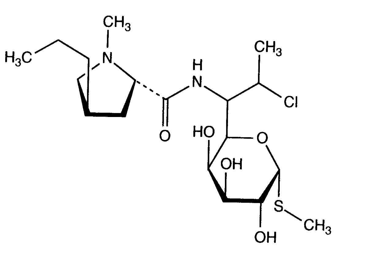
   化学構造  

商品名   商品名     

商品名、賦形剤は国、製薬会社ごとに異なることがあります

Biodaclin メキシコ
Camyda インド
Cinbiot メキシコ
Cleocin アメリカ, オーストリア, トルコ
Clinamsa メキシコ
Clinbac コロンビア, ペルー
Clincina ポルトガル
Clinda-Saar ドイツ
Clindacid ベネズエラ
Clindacin マレーシア
Clindalaf アルゼンチン
Clindamicina アルゼンチン, イタリア, エクアドル, コロンビア, スペイン, チリ, ブラジル, ベネズエラ, ペルー, ポルトガル, メキシコ
Clindamycin アメリカ, イラン, オーストリア, カナダ, サウジアラビア, スウェーデン, ドイツ, ノルウェー, ルーマニア
Clindamycin-Hameln ドイツ
Clindamycine オランダ, チュニジア, フランス, ベルギー
Clindanovag アルゼンチン
Clindarix ブラジル
Clindasol ドイツ
Clindaval ベネズエラ
Clindazyn メキシコ
Clindo ポーランド
Clysvic メキシコ
Daclin チリ
Dalacin アイスランド, アイルランド, アラブ首長国連邦, アーストラリア, イギリス, イタリア, イラン, インド, エクアドル, エジプト, オランダ, カナダ, ギリシア, コロンビア, サウジアラビア, スイス, スウェーデン, チュニジア, チリ, デンマーク, ニュージーランド, ノルウェー, ハンガリー, フィンランド, ベネズエラ, ベルギー, ポーランド, マレーシア, メキシコ, ルクセンブルグ
Dalacine チュニジア, フランス
Daladic イラン
Dalcinex インド
Damclid インド
Damicin コロンビア, メキシコ
Damicine コロンビア
Dolarclin コロンビア
Euroclin エクアドル, コロンビア
Gynasafe インド
Indamid メキシコ
Klimicin ポーランド
Klindan トルコ
Klindaver トルコ
Lanacine オーストリア
Lincocin マレーシア
Lincosa マレーシア
Meneklin トルコ
Sobelin ドイツ
Tidact マレーシア
投与経路   投与経路 :Clindamycin phosphate     
経路
点滴静注
持続注射
筋肉注射

  Mentions Légales