Ostatnia aktualizacja :
27/11/2025
Antybiotyk   Clindamycin phosphate  
Injekcje
Trwałość roztworów Trwałość w mieszaninie Czynnik wpływający na trwałość Zgodność Sposób podania Bibliografia pdf
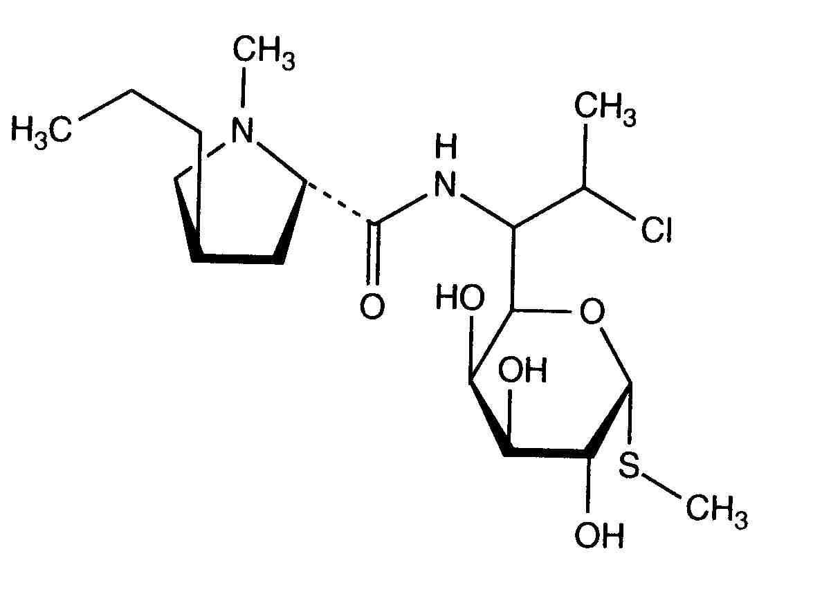
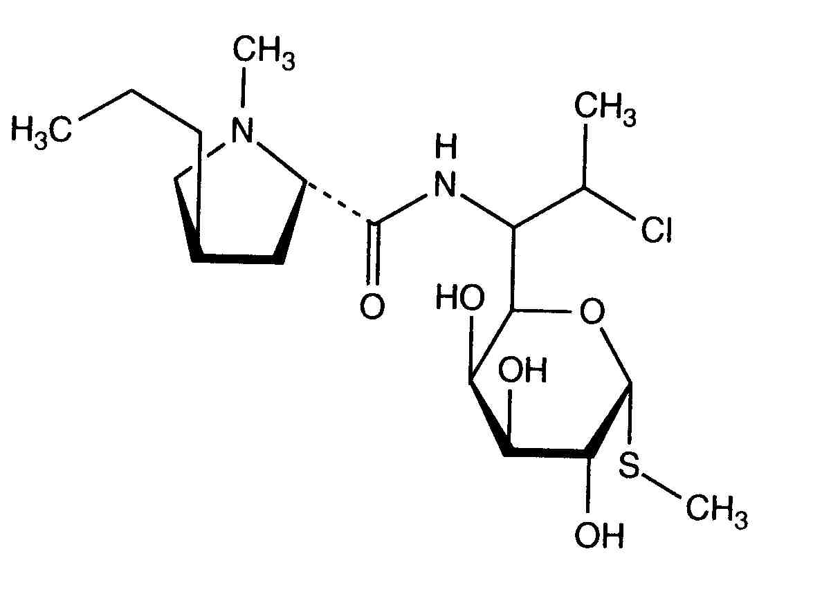
   Struktura chemiczna  

Nazwa handlowa   Nazwa handlowa     

Trade names are indicative and excipients composition can be different depending on the country and manufacturers

Biodaclin Meksyk
Camyda Indie
Cinbiot Meksyk
Cleocin Austria, Stany Zjednoczone Ameryki, Turcja
Clinamsa Meksyk
Clinbac KolumbiaKolumbia, Peru
Clincina Portugalia
Clinda-Saar Niemcy
Clindacid Wenezuela
Clindacin Malezja
Clindalaf Argentyna
Clindamicina Argentyna, Brazylia, Chile, Ekwador, Hiszpania, KolumbiaKolumbia, Meksyk, Peru, Portugalia, Wenezuela, Włochy
Clindamycin Arabia Saudyjska, Austria, Iran, Kanada, Niemcy, Norwegia, Rumunia, Stany Zjednoczone Ameryki, Szwecja
Clindamycin-Hameln Niemcy
Clindamycine Belgia, Francja , Holandia, Tunisie
Clindanovag Argentyna
Clindarix Brazylia
Clindasol Niemcy
Clindaval Wenezuela
Clindazyn Meksyk
Clindo Polska
Clysvic Meksyk
Daclin Chile
Dalacin Arabia Saudyjska, Australia, Belgia, Chile, Dania, Egipt, Ekwador, Finlandia, Grecja, Holandia, Indie, Iran, Irlandia, Islandia, Kanada, KolumbiaKolumbia, Luksemburg, Malezja, Meksyk, Norwegia, nowa Zelandia, Polska, Szwajcaria, Szwecja, Tunisie, Węgry, Wenezuela, Wielka Brytania, Włochy, Zjednoczone Emiraty Arabskie
Dalacine Francja , Tunisie
Daladic Iran
Dalcinex Indie
Damclid Indie
Damicin KolumbiaKolumbia, Meksyk
Damicine KolumbiaKolumbia
Dolarclin KolumbiaKolumbia
Euroclin Ekwador, KolumbiaKolumbia
Gynasafe Indie
Indamid Meksyk
Klimicin Polska
Klindan Turcja
Klindaver Turcja
Lanacine Austria
Lincocin Malezja
Lincosa Malezja
Meneklin Turcja
Sobelin Niemcy
Tidact Malezja

Czynnik wpływający na trwałość   Injekcje   Czynnik wpływający na trwałość : Clindamycin phosphate        
Bibliografia
pH pH >7 Wywołuje Degradacja 3526

  Mentions Légales