Zadnji put ažurirano :
27/11/2025
antibiotik   Clindamycin phosphate  
injekcija
Stabilizacija rješenja Stabilnost mješavine Stabilizacijski faktor Kompatibilnosti način davanja lijeka Bibliografija pdf
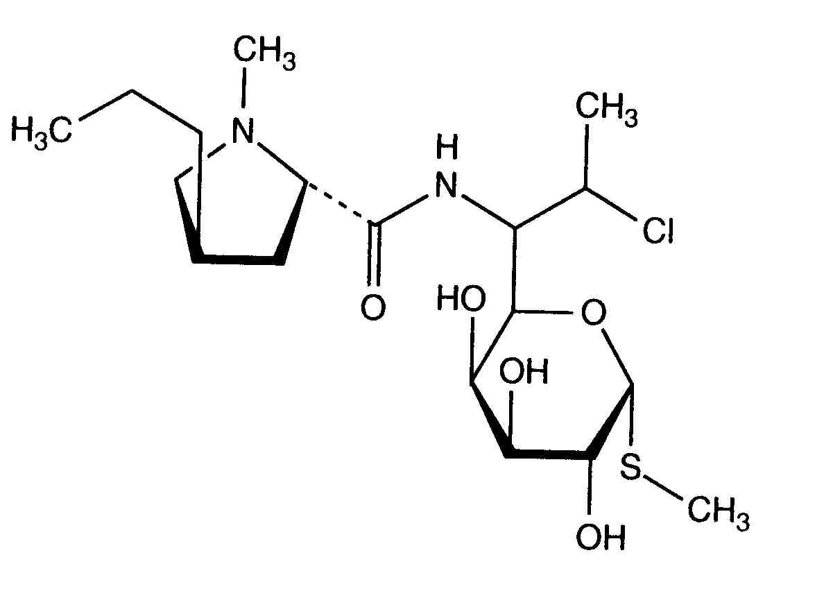
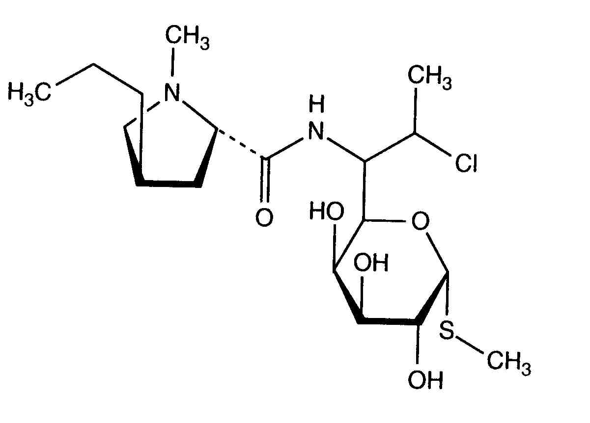
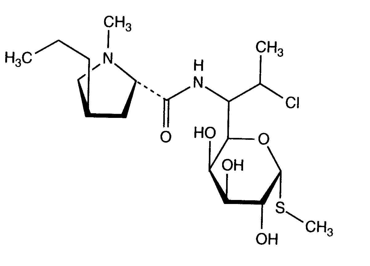
   Kemijska struktura  

Nekomercijalni   Nekomercijalni     

Zaštićeni nazivi su indikativni i sastav ekscipijensa može biti različit ovisno o državi i laboratorijima

Biodaclin Meksiko
Camyda Indija
Cinbiot Meksiko
Cleocin Austrija, S A D, Turska
Clinamsa Meksiko
Clinbac Kolumbija, Peru
Clincina Portugal
Clinda-Saar Njemačka
Clindacid Venecuela
Clindacin Malezija
Clindalaf Argentina
Clindamicina Argentina, Brazil, Čile, Ekvador, Italija, Kolumbija, Meksiko, Peru, Portugal, Španjolska, Venecuela
Clindamycin Austrija, Iran, Kanada, Njemačka, Norveška, Rumunjska, S A D, Saudijska Arabija, Švedska
Clindamycin-Hameln Njemačka
Clindamycine Belgija, Francuska, Nizozemska, Tunis
Clindanovag Argentina
Clindarix Brazil
Clindasol Njemačka
Clindaval Venecuela
Clindazyn Meksiko
Clindo Poljska
Clysvic Meksiko
Daclin Čile
Dalacin Indija, Australija, Belgija, Čile, Danska, Egipat, Ekvador, Finska, Grčka, Iran, Irska, Island, Italija, Kanada, Kolumbija, Luksemburg, Madžarska, Malezija, Meksiko, Nizozemska, Norveška, novi Zeland, Poljska, Saudijska Arabija, Švedska, Švicarska, Tunis, Ujedinjeni Arapski Emirati, Velika Britanija, Venecuela
Dalacine Francuska, Tunis
Daladic Iran
Dalcinex Indija
Damclid Indija
Damicin Kolumbija, Meksiko
Damicine Kolumbija
Dolarclin Kolumbija
Euroclin Ekvador, Kolumbija
Gynasafe Indija
Indamid Meksiko
Klimicin Poljska
Klindan Turska
Klindaver Turska
Lanacine Austrija
Lincocin Malezija
Lincosa Malezija
Meneklin Turska
Sobelin Njemačka
Tidact Malezija

Stabilizacijski faktor   injekcija   Stabilizacijski faktor : Clindamycin phosphate        
Bibliografija
pH pH >7 izaziva Degradacija 3526

  Mentions Légales