Utolsó frissítés :
27/11/2025
Antibiotikum   Clindamycin phosphate  
Injekció
Az oldatok stabilitása A keverékek stabilitása Stabilitást befolyásoló tényezők Kompatibilitás Az alkalmazás módja Irodalom pdf
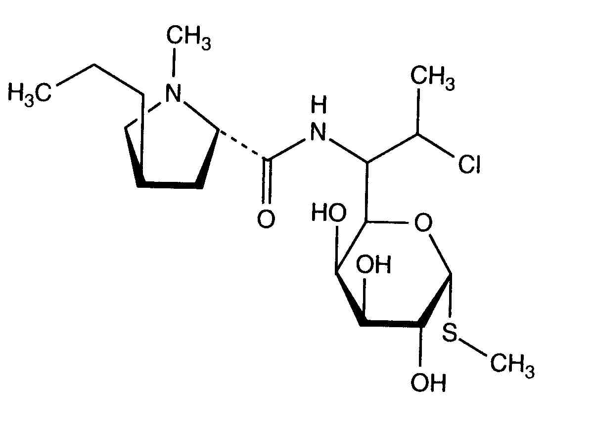
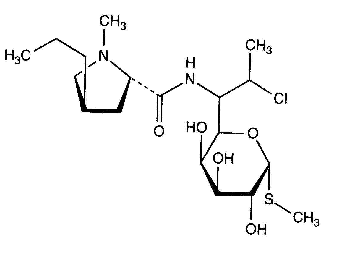
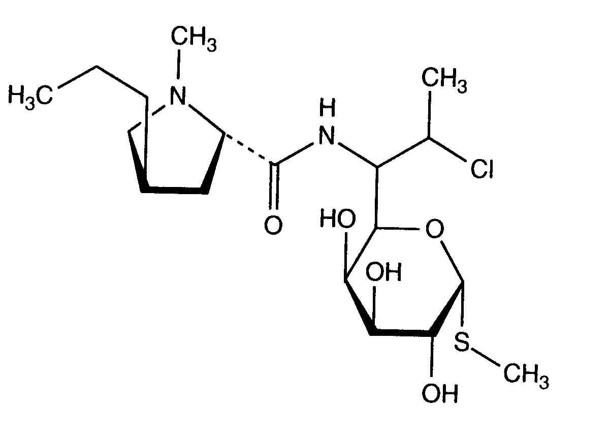
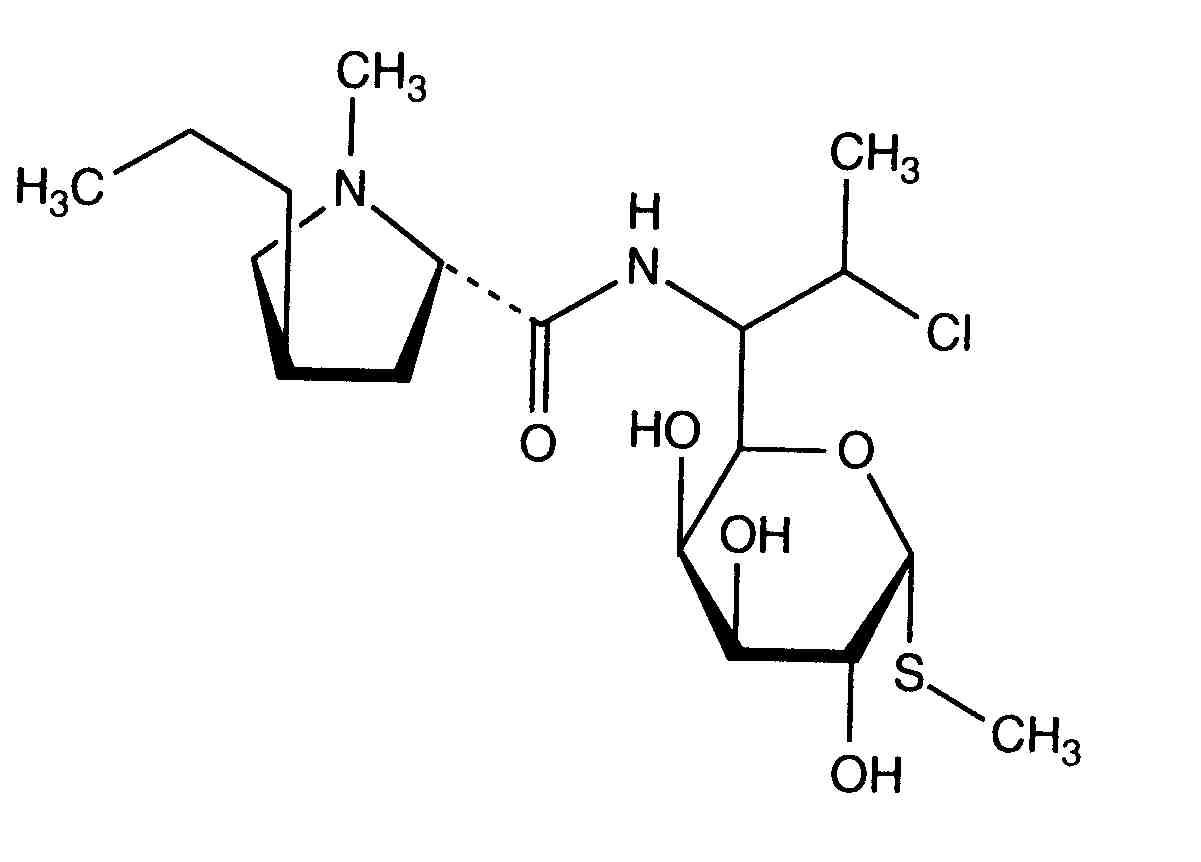
   Kémiai szerkezet   

Kereskedelmi név   Kereskedelmi név     

A kereskedelmi név meghatározó jelentőségű: a készítmények összetétele országonként, előállítóként eltérő lehet

Biodaclin Mexikó
Camyda India
Cinbiot Mexikó
Cleocin Amerikai Egyesült Államok, Ausztria, Törökország
Clinamsa Mexikó
Clinbac Colombia, Peru
Clincina Portugália
Clinda-Saar Németország
Clindacid Venezuela
Clindacin Malaysia
Clindalaf Argentína
Clindamicina Argentína, Brazília, Chile, Colombia, Ecuador, Mexikó, Olaszország, Peru, Portugália, Spanyolország, Venezuela
Clindamycin Amerikai Egyesült Államok, Ausztria, Irán, Kanada, Németország, Norvégia, Románia, Svédország, Szaúd-Arábiában
Clindamycin-Hameln Németország
Clindamycine Belgium, Franciaország, Hollandia, Tunézia
Clindanovag Argentína
Clindarix Brazília
Clindasol Németország
Clindaval Venezuela
Clindazyn Mexikó
Clindo Lengyelország
Clysvic Mexikó
Daclin Chile
Dalacin Ausztrália, Belgium, Chile, Colombia, Dánia, Ecuador, Egyesült Arab Emírségek, Egyiptom, Finnország, Görögország, Hollandia, India, Irán, Írország, Izland, Kanada, Lengyelország, Luxemburg, Magyarország, Malaysia, Mexikó, Nagy-Britannia, Norvégia, Olaszország, Svájc, Svédország, Szaúd-Arábiában, Tunézia, új-Zéland, Venezuela
Dalacine Franciaország, Tunézia
Daladic Irán
Dalcinex India
Damclid India
Damicin Colombia, Mexikó
Damicine Colombia
Dolarclin Colombia
Euroclin Colombia, Ecuador
Gynasafe India
Indamid Mexikó
Klimicin Lengyelország
Klindan Törökország
Klindaver Törökország
Lanacine Ausztria
Lincocin Malaysia
Lincosa Malaysia
Meneklin Törökország
Sobelin Németország
Tidact Malaysia

Stabilitást befolyásoló tényezők   Injekció   Stabilitást befolyásoló tényezők : Clindamycin phosphate        
Irodalom
pH pH >7 Előidéz Lebomlás 3526

  Mentions Légales