Letztes “update” :
27/11/2025
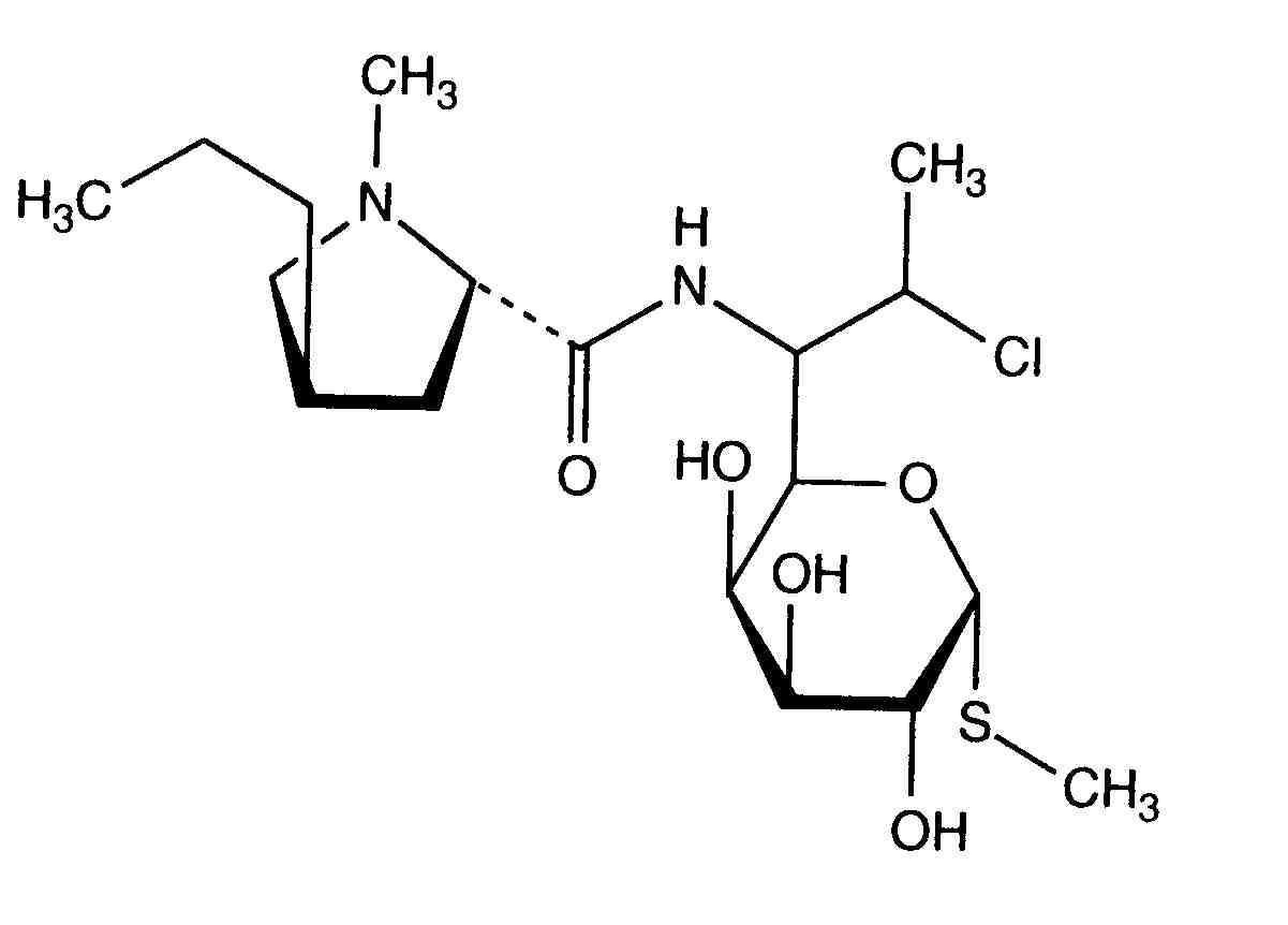
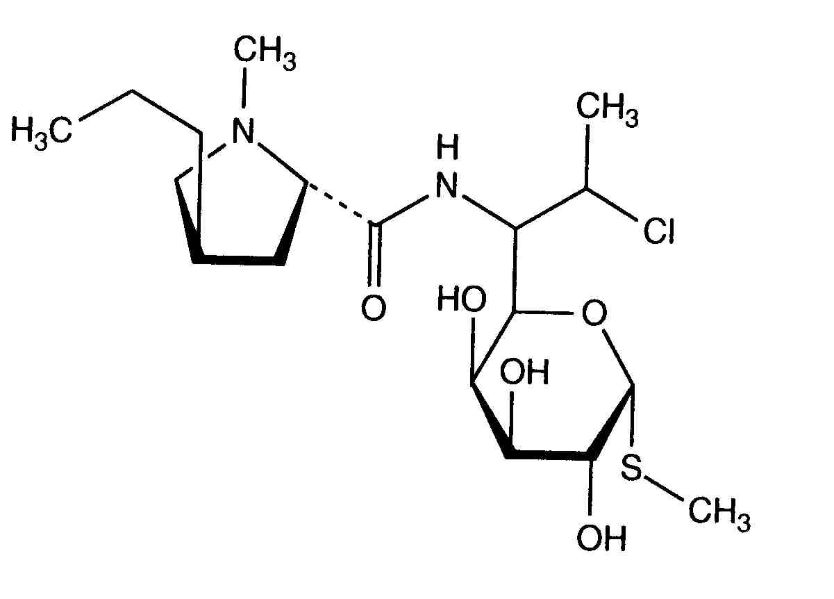
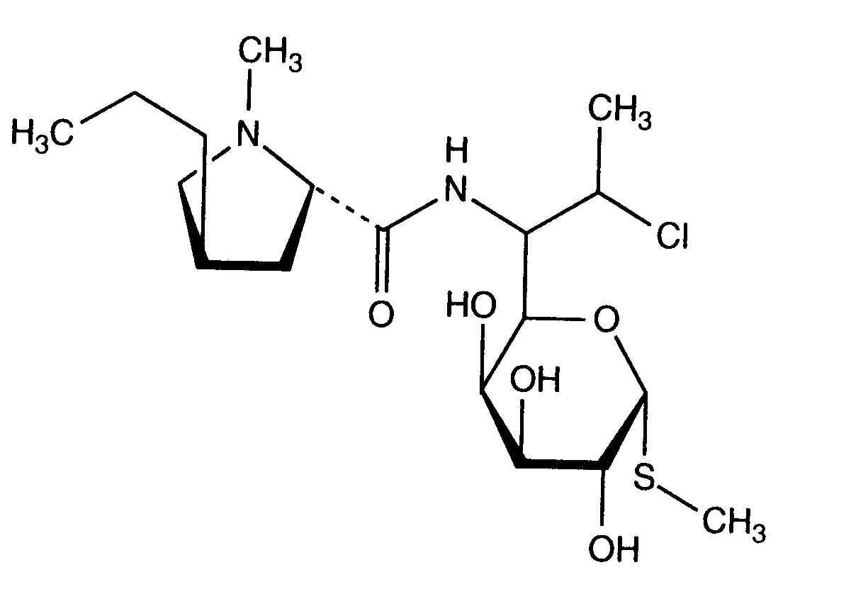
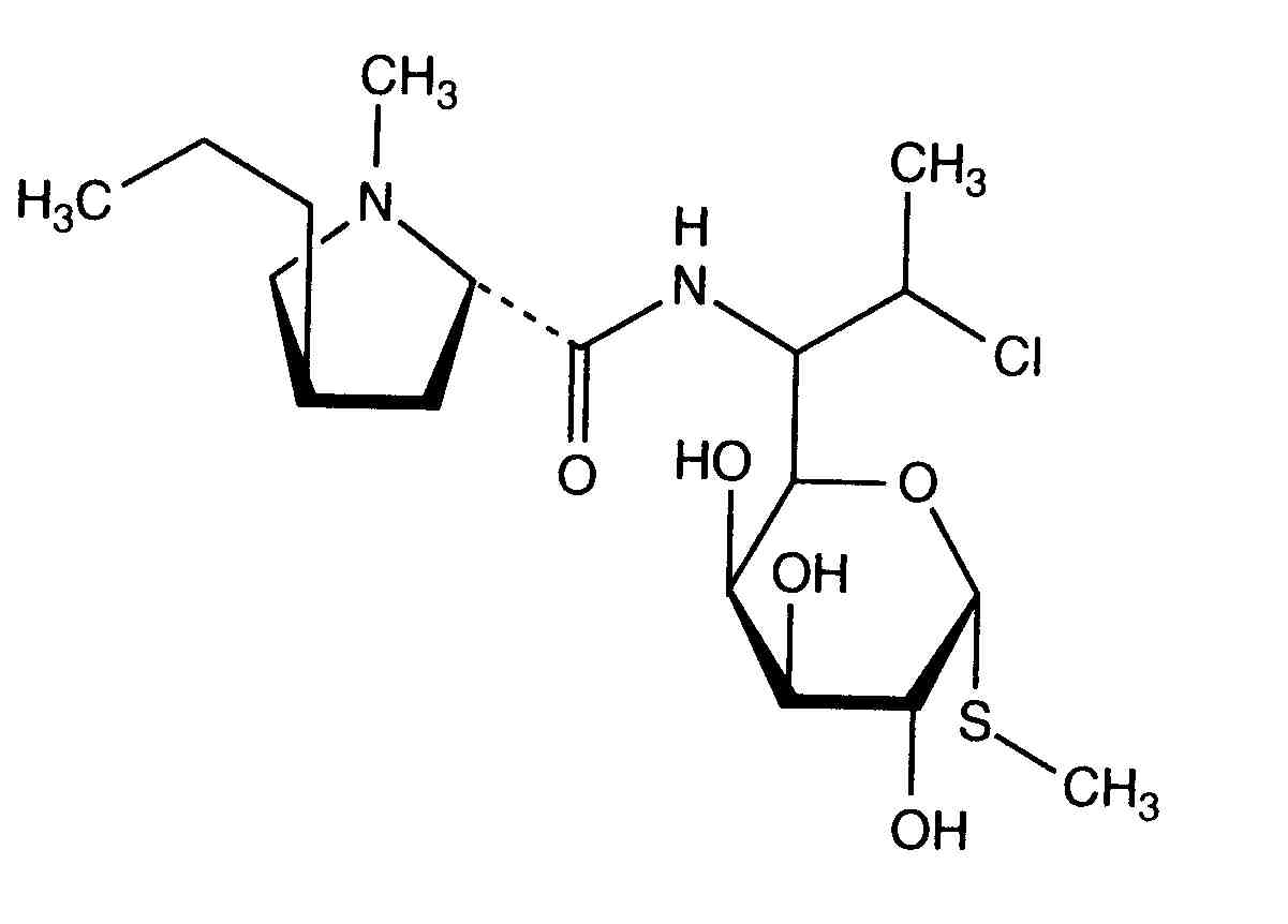
Antibiotikum   Clindamycin phosphate  
Injektion
Stabilität der Lösung Gemengestabilität Stabilitätbeeinflussende Faktoren Kompatibilitäten Applikationsart Literaturverzeichnis pdf
   Chemische Struktur  

Handelsmarke   Handelsmarke     

Handelsnamen sind als beispielhaft anzusehen. Sonstige Bestandteile können je nach Hersteller oder Land verschieden sein

Biodaclin Mexiko
Camyda Indien
Cinbiot Mexiko
Cleocin Österreich, Türkei, Vereinigte Staaten von Amerika
Clinamsa Mexiko
Clinbac Kolumbien, Peru
Clincina Portugal
Clinda-Saar Deutschland
Clindacid Venezuela
Clindacin Malaysia
Clindalaf Argentinien
Clindamicina Argentinien, Brasilien, Chile, Ecuador, Italien, Kolumbien, Mexiko, Peru, Portugal, Spanien, Venezuela
Clindamycin Deutschland, Iran, Kanada, Norwegen, Österreich, Rumänien, Saudi-Arabien, Schweden, Vereinigte Staaten von Amerika
Clindamycin-Hameln Deutschland
Clindamycine Belgien, Frankreich, Niederlande, Tunesien
Clindanovag Argentinien
Clindarix Brasilien
Clindasol Deutschland
Clindaval Venezuela
Clindazyn Mexiko
Clindo Polen
Clysvic Mexiko
Daclin Chile
Dalacin Ägypten, Australien, Belgien, Chile, Dänemark, Ecuador, Finnland, Griechenland, Großbritannien, Indien, Iran, Irland, Island, Italien, Kanada, Kolumbien, Luxemburg, Malaysia, Mexiko, Neuseeland, Niederlande, Norwegen, Polen, Saudi-Arabien, Schweden, Schweiz, Tunesien, Ungarn, Venezuela, Vereinigte Arabische Emirate
Dalacine Frankreich, Tunesien
Daladic Iran
Dalcinex Indien
Damclid Indien
Damicin Kolumbien, Mexiko
Damicine Kolumbien
Dolarclin Kolumbien
Euroclin Ecuador, Kolumbien
Gynasafe Indien
Indamid Mexiko
Klimicin Polen
Klindan Türkei
Klindaver Türkei
Lanacine Österreich
Lincocin Malaysia
Lincosa Malaysia
Meneklin Türkei
Sobelin Deutschland
Tidact Malaysia

Stabilitätbeeinflussende Faktoren   Injektion   Stabilitätbeeinflussende Faktoren : Clindamycin phosphate        
Literaturverzeichnis
pH pH >7 Führt zu Degradation 3526

  Mentions Légales