Viimeisin päivitys :
27/11/2025
Antibiootit   Clindamycin phosphate  
Injektioneste
Stabilius liuoksessa Stabilius seoksissa Tekijät, jotka vaikuttavat stabiliuteen Yhteensopivuus Antotapa Viitteet pdf
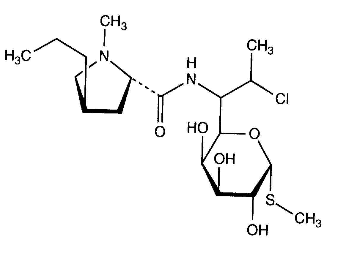
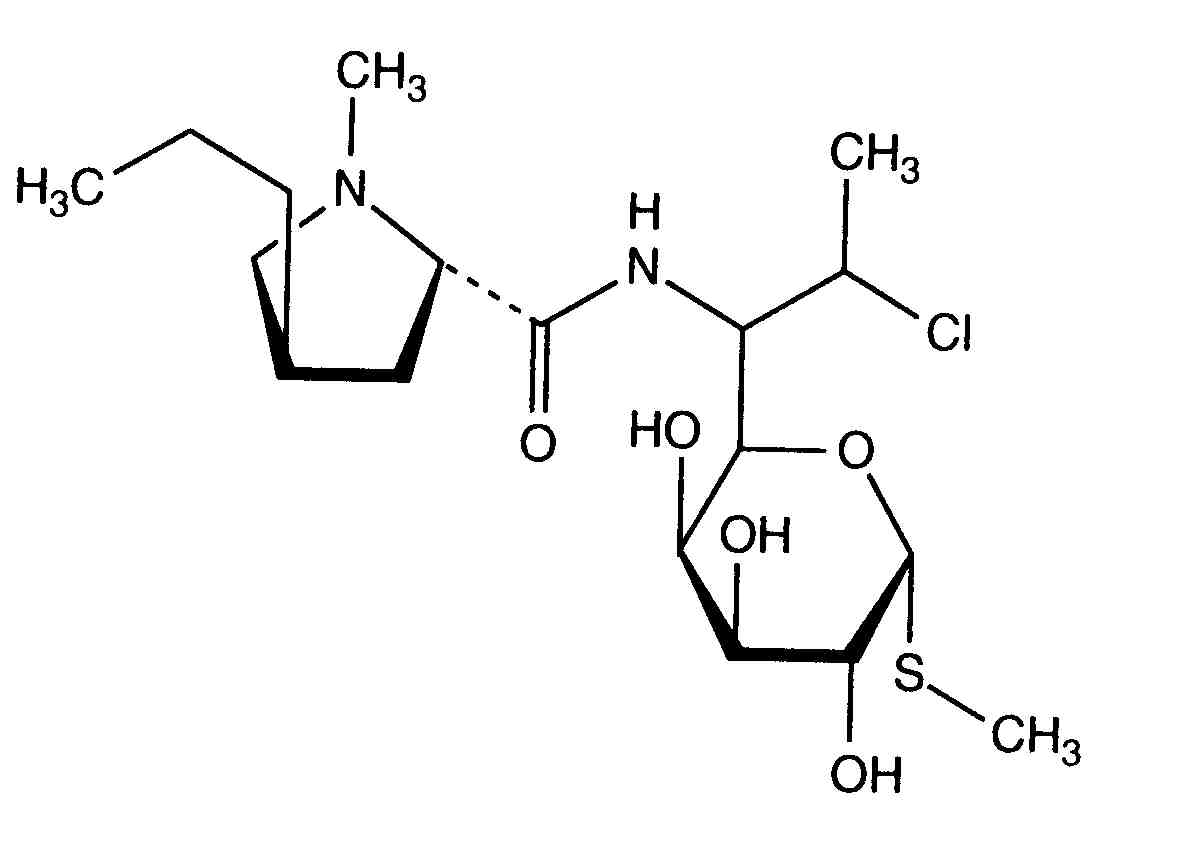
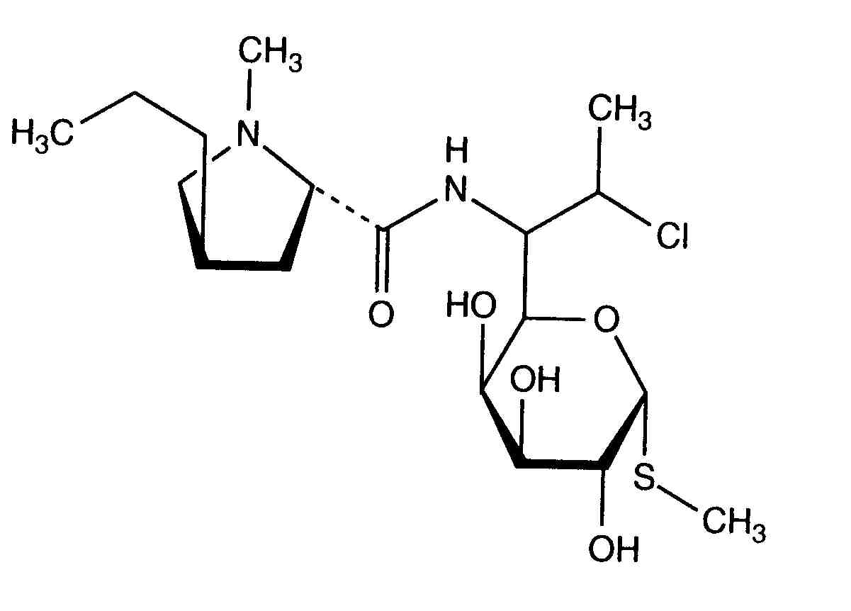
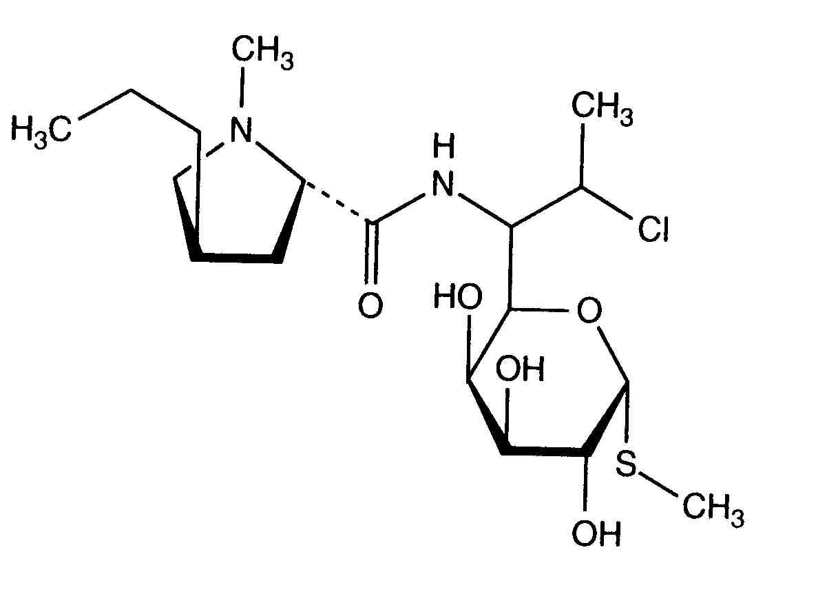
   Kemiallinen rakenne  

Kauppanimi   Kauppanimi     

Trade names are indicative and excipients composition can be different depending on the country and manufacturers

Biodaclin Meksiko
Camyda Intia
Cinbiot Meksiko
Cleocin Itävalta, Turkki, Yhdysvallat
Clinamsa Meksiko
Clinbac Kolumbia, Marokko
Clincina Portugali
Clinda-Saar Saksa
Clindacid Venezuela
Clindacin Malesia
Clindalaf Argentiina
Clindamicina Argentiina, Brasilia, Chile, Ecuador, Espanja, Italia, Kolumbia, Marokko, Meksiko, Portugali, Venezuela
Clindamycin Iran, Itävalta, Kanada, Norja, Romania, Ruotsi, Saksa, Saudi-Arabia, Yhdysvallat
Clindamycin-Hameln Saksa
Clindamycine Belgia, Hollanti, Ranska, Tunisia
Clindanovag Argentiina
Clindarix Brasilia
Clindasol Saksa
Clindaval Venezuela
Clindazyn Meksiko
Clindo Puola
Clysvic Meksiko
Daclin Chile
Dalacin Australia, Belgia, Chile, Ecuador, Egypti, Hollanti, Intia, Iran, Irlanti, Islanti, Iso-Britannia, Italia, Kanada, Kolumbia, Kreikka, Luxemburg, Malesia, Meksiko, New Zealand, Norja, Puola, Ruotsi, Saudi-Arabia, Suomi, Sveitsi, Tanska, Tunisia, Unkari, Venezuela, Yhdistyneet arabiemiirikunnat
Dalacine Ranska, Tunisia
Daladic Iran
Dalcinex Intia
Damclid Intia
Damicin Kolumbia, Meksiko
Damicine Kolumbia
Dolarclin Kolumbia
Euroclin Ecuador, Kolumbia
Gynasafe Intia
Indamid Meksiko
Klimicin Puola
Klindan Turkki
Klindaver Turkki
Lanacine Itävalta
Lincocin Malesia
Lincosa Malesia
Meneklin Turkki
Sobelin Saksa
Tidact Malesia

Tekijät, jotka vaikuttavat stabiliuteen   Injektioneste   Tekijät, jotka vaikuttavat stabiliuteen : Clindamycin phosphate        
Viitteet
pH pH >7 Aiheuttaa Hajoaminen 3526

  Mentions Légales