Last update :
27/11/2025
Antibiotic   Clindamycin phosphate  
injection
Stability in solutions Stability of mixtures Factors which affect stability Compatibility Route of administration References pdf
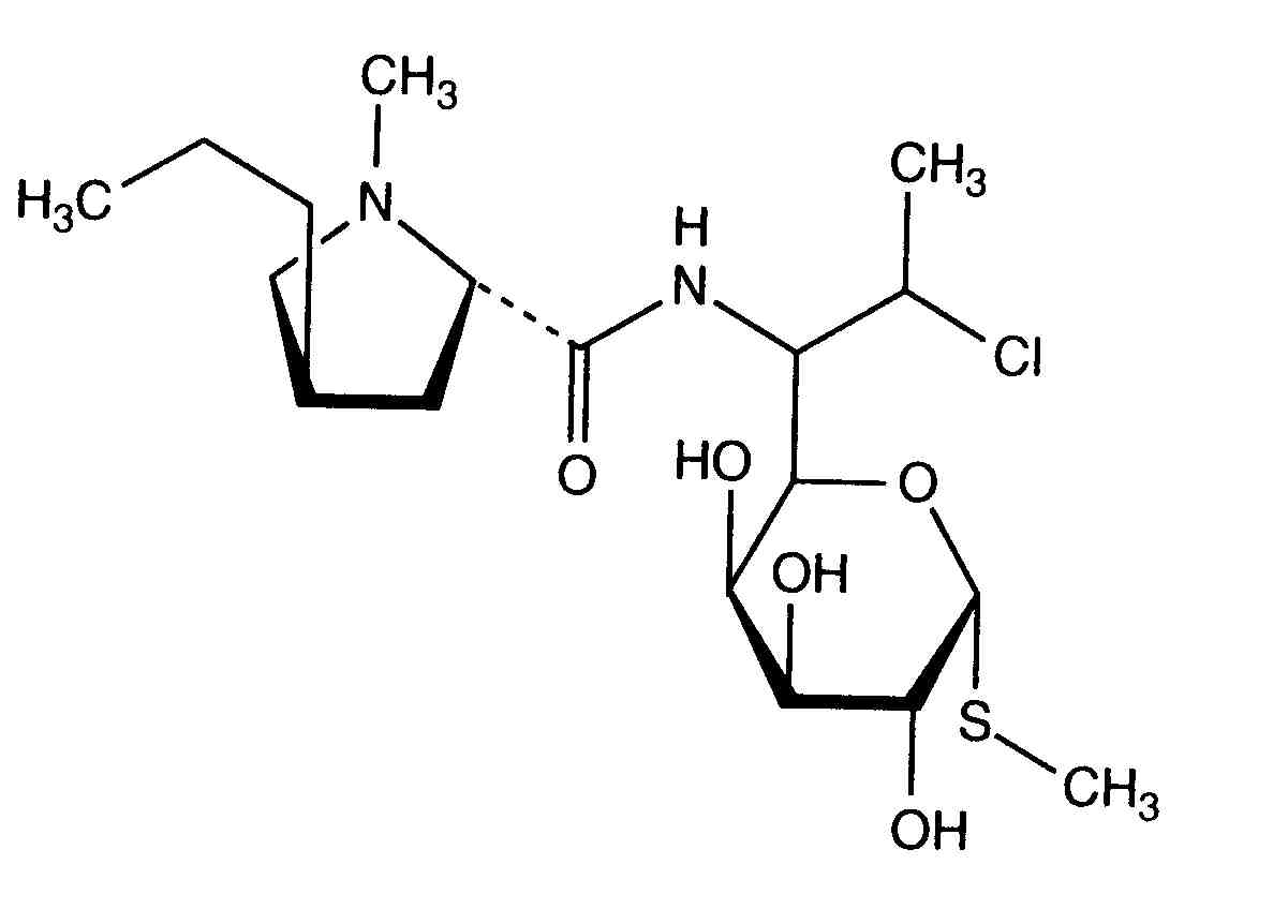
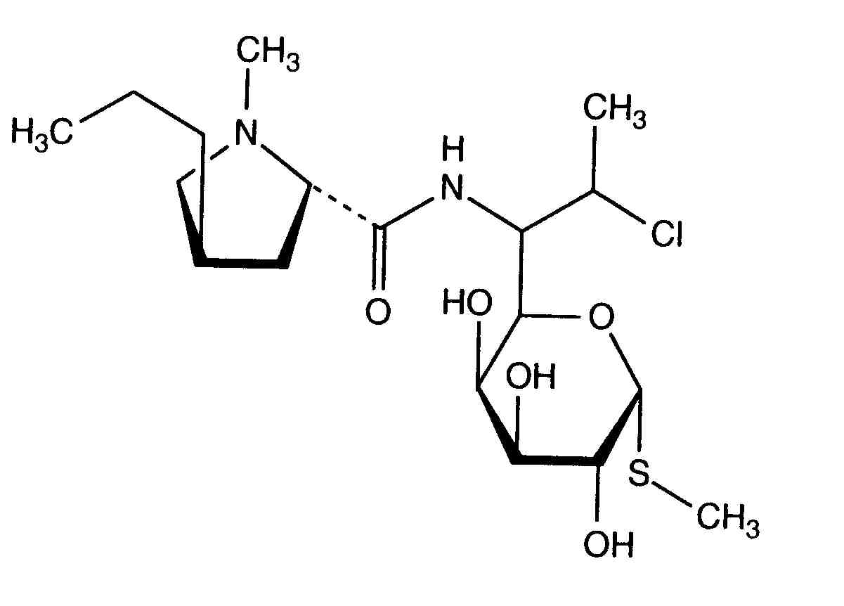
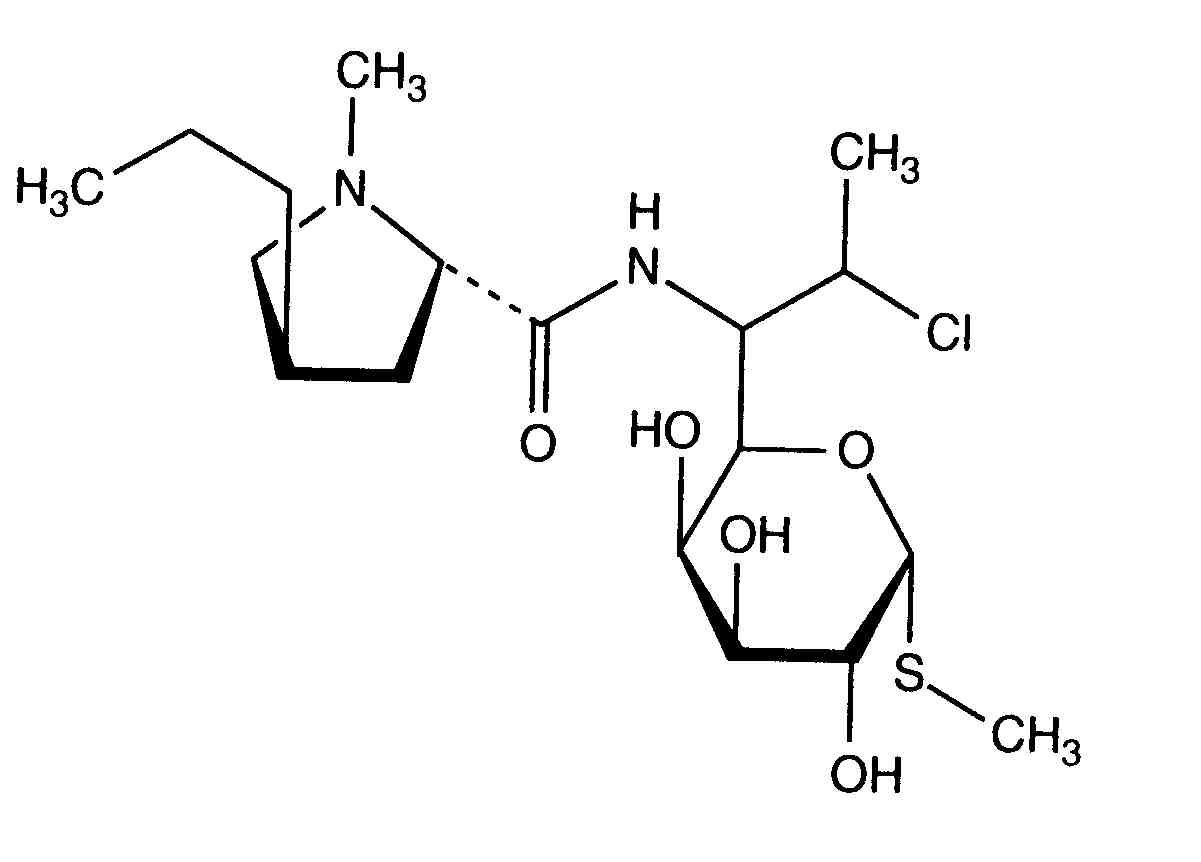
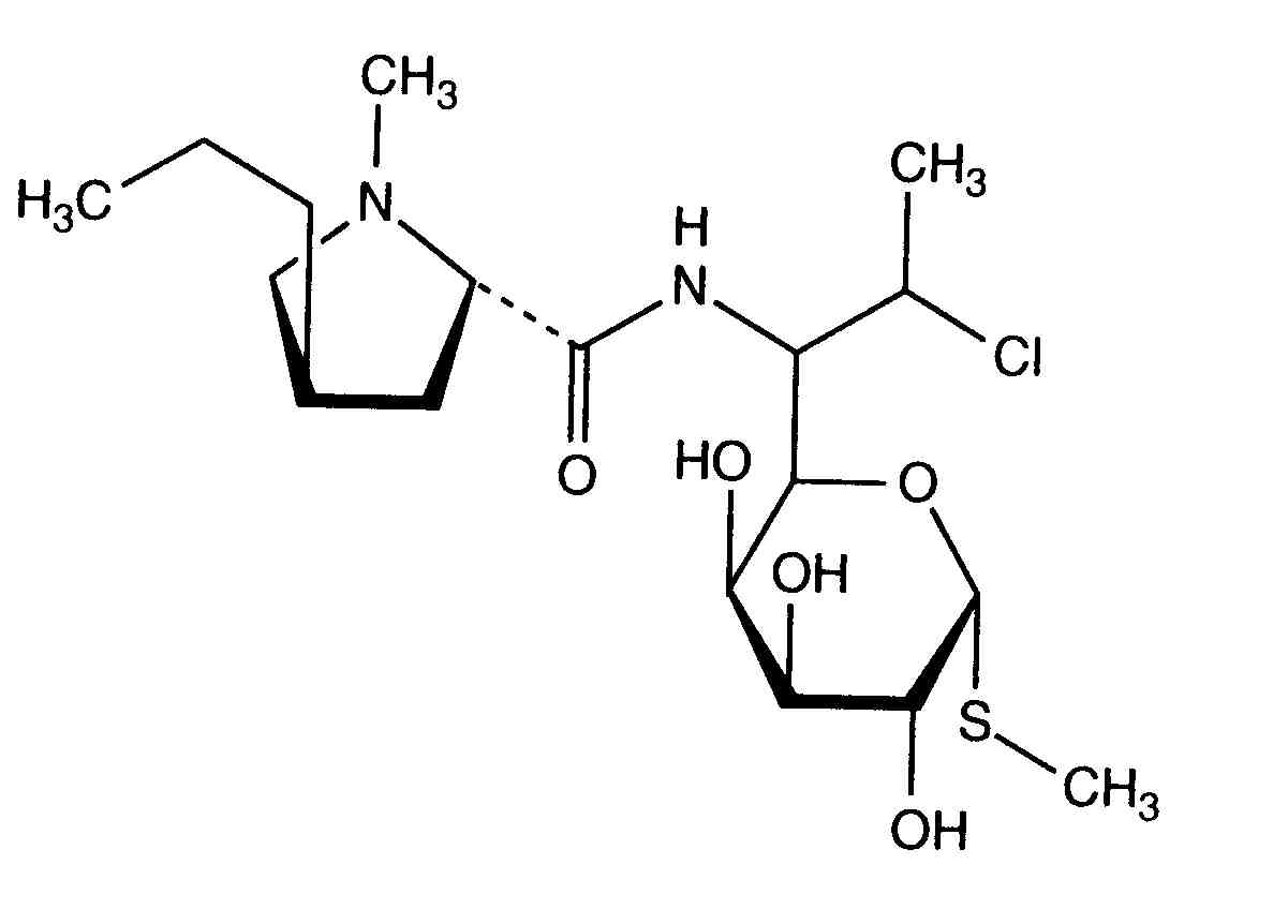
   Chemical structure  

Tradename   Tradename     

Trade names are indicative and excipients composition can be different depending on the country and manufacturers

Biodaclin Mexico
Camyda India
Cinbiot Mexico
Cleocin Austria, Turkey, United States of America
Clinamsa Mexico
Clinbac Colombia, Peru
Clincina Portugal
Clinda-Saar Germany
Clindacid Venezuela
Clindacin Malaysia
Clindalaf Argentina
Clindamicina Argentina, Brazil, Chile, Colombia, Ecuador, Italy, Mexico, Peru, Portugal, Spain, Venezuela
Clindamycin Austria, Canada, Germany, Iran, Norway, Romania, Saudi Arabia, Sweden, United States of America
Clindamycin-Hameln Germany
Clindamycine Belgium, France, Netherlands, Tunisia
Clindanovag Argentina
Clindarix Brazil
Clindasol Germany
Clindaval Venezuela
Clindazyn Mexico
Clindo Poland
Clysvic Mexico
Daclin Chile
Dalacin Australia, Belgium, Canada, Chile, Colombia, Denmark, Ecuador, Egypt, Finland, Great Britain, Greece, Hungary, Iceland, India, Iran, Ireland, Italy, Luxembourg, Malaysia, Mexico, Netherlands, New Zealand, Norway, Poland, Saudi Arabia, Sweden, Switzerland, Tunisia, United Arab Emirates, Venezuela
Dalacine France, Tunisia
Daladic Iran
Dalcinex India
Damclid India
Damicin Colombia, Mexico
Damicine Colombia
Dolarclin Colombia
Euroclin Colombia, Ecuador
Gynasafe India
Indamid Mexico
Klimicin Poland
Klindan Turkey
Klindaver Turkey
Lanacine Austria
Lincocin Malaysia
Lincosa Malaysia
Meneklin Turkey
Sobelin Germany
Tidact Malaysia

Factors which affect stability   injection   Factors which affect stability : Clindamycin phosphate        
References
pH pH >7 Induces Degradation 3526

  Mentions Légales