Poslední aktualizace :
27/11/2025
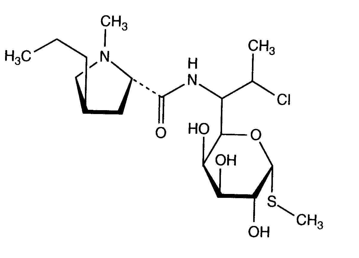
Antibiotikas   Clindamycin phosphate  
Įpurškimas
Tirpalų stabilumas Mišinių stabilumas Stabilumą lemiantys veiksniai Suderinamumas Leidimo būdai Bibliografija pdf
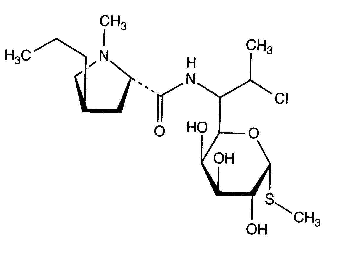
   Cheminė sandara  

Prekinis pavadinimas   Prekinis pavadinimas     

Trade names are indicative and excipients composition can be different depending on the country and manufacturers

Biodaclin Meksikas
Camyda Indija
Cinbiot Meksikas
Cleocin Austrija, Jungtinės Amerikos Valstijos, Turkija
Clinamsa Meksikas
Clinbac Kolumbija, Peru
Clincina Portugalija
Clinda-Saar Vokietija
Clindacid Venesuela
Clindacin Malaizija
Clindalaf Argentina
Clindamicina Argentina, Brazilija, Čilė, Ekvadoras, Ispanija, Italija, Kolumbija, Meksikas, Peru, Portugalija, Venesuela
Clindamycin Austrija, Iranas, Jungtinės Amerikos Valstijos, Kanada, Norvegija, Rumunija, Saudo Arabija, Švedija, Vokietija
Clindamycin-Hameln Vokietija
Clindamycine Belgija, Olandija, Prancūzija, Tunisas
Clindanovag Argentina
Clindarix Brazilija
Clindasol Vokietija
Clindaval Venesuela
Clindazyn Meksikas
Clindo Lenkija
Clysvic Meksikas
Daclin Čilė
Dalacin Airija, Australija, Belgija, Čilė, Danija, Didžioji Britanija, Egiptas, Ekvadoras, Graikija, Indija, Iranas, Islandija, Italija, Jungtiniai Arabų Emyratai, Kanada, Kolumbija, Lenkija, Liuksemburgas, Malaizija, Meksikas, Naujojoje Zelandijoje, Norvegija, Olandija, Saudo Arabija, Suomija, Švedija, Šveicarija, Tunisas, Venesuela, Vengrija
Dalacine Prancūzija, Tunisas
Daladic Iranas
Dalcinex Indija
Damclid Indija
Damicin Kolumbija, Meksikas
Damicine Kolumbija
Dolarclin Kolumbija
Euroclin Ekvadoras, Kolumbija
Gynasafe Indija
Indamid Meksikas
Klimicin Lenkija
Klindan Turkija
Klindaver Turkija
Lanacine Austrija
Lincocin Malaizija
Lincosa Malaizija
Meneklin Turkija
Sobelin Vokietija
Tidact Malaizija

Stabilumą lemiantys veiksniai   Įpurškimas   Stabilumą lemiantys veiksniai : Clindamycin phosphate        
Nuorodos
pH pH >7 Skatina Skilimas 3526

  Mentions Légales