Posledná aktualizácia :
27/01/2026
antikoagulans   Bivalirudin  
Injekcia
Stabilita roztokov Stabilita v zmesiach Faktory ovplyvňujúce stabilitu Kompatibility spôsob podania Odkazy na literatúru PDF
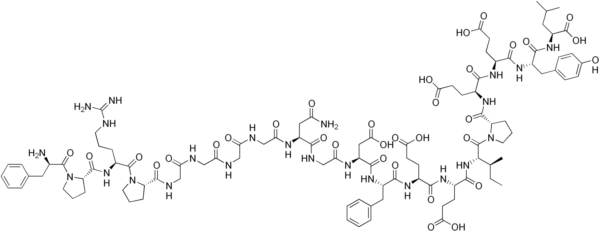
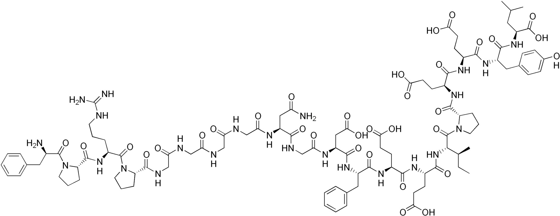
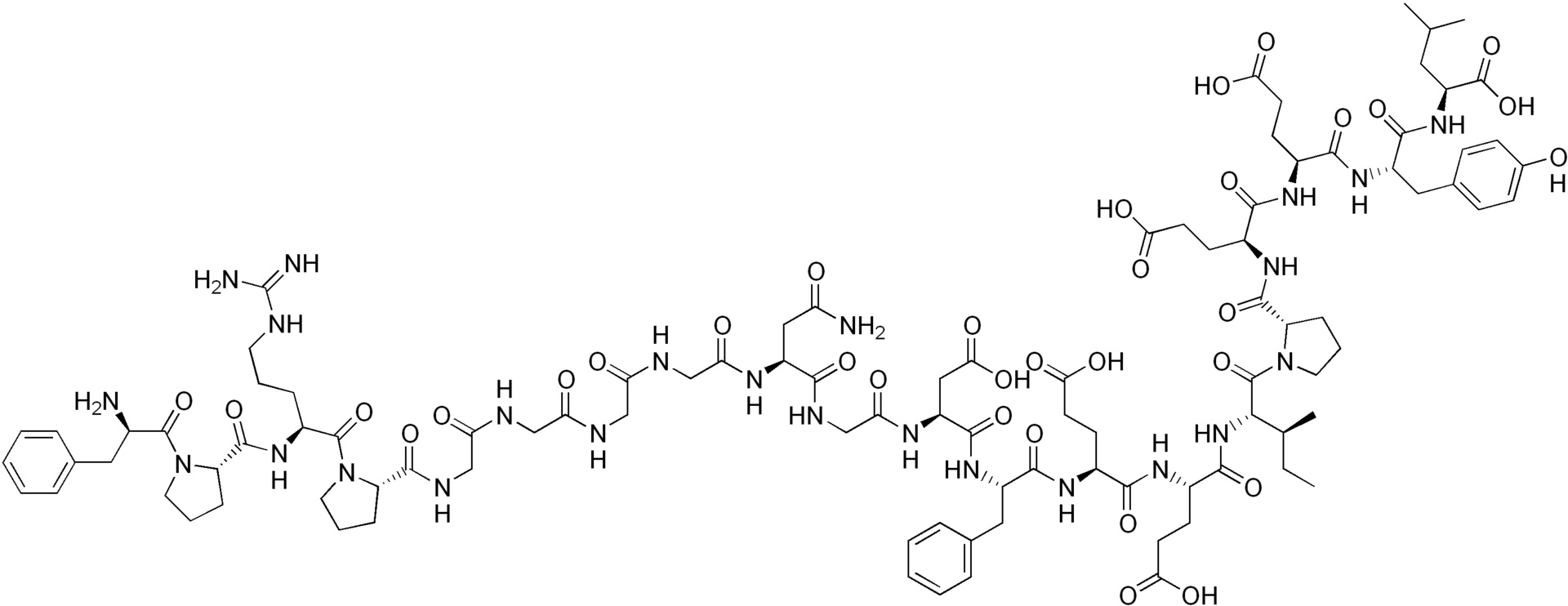
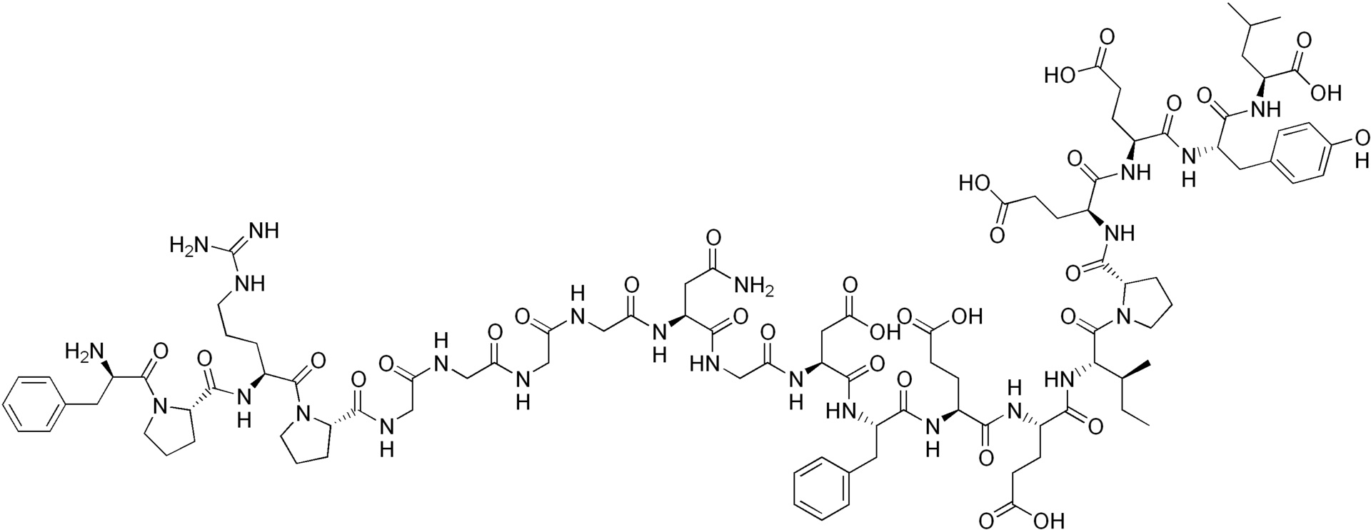
   Chemický vzorec  

Obchodný názov   Obchodný názov     

Obchodné názvy sú orientačné, a zloženie pomocných látok sa môže líšiť v závislosti od krajiny a výrobcu.

Amuprux Argentína
Angiomax Austrália, Čile, Kanada, nový Zéland, peru, Spojené štáty Americké, Venezuela
Angiox Dánsko, Fínsko, Grécko, Holandsko, Island, Maďarsko, Nórsko, Poľsko, Rakúsko, Rumunsko, Slovinsko, Španielsko, Spojené štáty Americké, Taliansko, Veľká Británia
Bivalirudin Belgicko, Dánsko, Fínsko, Nemecko, Slovinsko, Švédsko, Veľká Británia
Bivalirudina Španielsko, Taliansko
Stabilita roztokov   Injekcia   Stabilita roztokov : Bivalirudin     
obal rozpúšťadlo koncentrácia teplota uchovávanie Trvanie stability odkazy na lieteratúru
Sklo voda na injekciu 50 mg/ml 2-8°C nešpecifikované
24 hodín
3539
Údaje o stabilite od výrobcu

nešpecifikované 0,9% chlorid sodný 5 mg/ml 25°C nešpecifikované
24 hodín
3539
Údaje o stabilite od výrobcu

nešpecifikované 5% glukóza 5 mg/ml 25°C nešpecifikované
24 hodín
3539
Údaje o stabilite od výrobcu


  Mentions Légales