Viimeisin päivitys :
27/01/2026
Antikoagulantit   Bivalirudin  
Injektioneste
Stabilius liuoksessa Stabilius seoksissa Tekijät, jotka vaikuttavat stabiliuteen Yhteensopivuus Antotapa Viitteet pdf
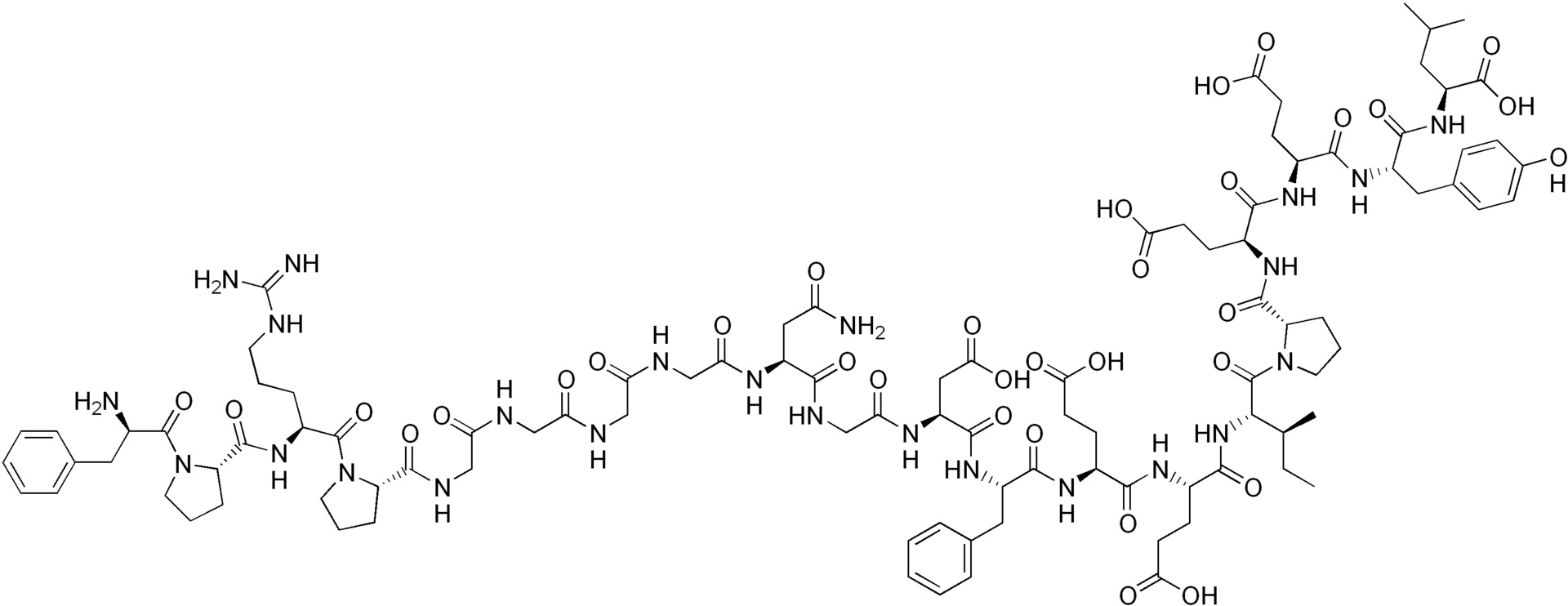
   Kemiallinen rakenne  

Kauppanimi   Kauppanimi     

Trade names are indicative and excipients composition can be different depending on the country and manufacturers

Amuprux Argentiina
Angiomax Australia, Chile, Kanada, Marokko, New Zealand, Venezuela, Yhdysvallat
Angiox Espanja, Hollanti, Islanti, Iso-Britannia, Italia, Itävalta, Kreikka, Norja, Puola, Romania, Slovenia, Suomi, Tanska, Unkari, Yhdysvallat
Bivalirudin Belgia, Iso-Britannia, Ruotsi, Saksa, Slovenia, Suomi, Tanska
Bivalirudina Espanja, Italia
Stabilius liuoksessa   Injektioneste   Stabilius liuoksessa : Bivalirudin     
Astia Liuotin Konsentraatio Lämpötila Säilytys Vakauden kesto Viitteet
Lasi Injektionesteisiin käytettävä vesi 50 mg/ml 2-8°C Ei määritetty
24 tunti
3539
Valmistajan antamat stabiiliustiedot

Ei määritetty Natriumkloridi 0,9% 5 mg/ml 25°C Ei määritetty
24 tunti
3539
Valmistajan antamat stabiiliustiedot

Ei määritetty Glukoosi 5% 5 mg/ml 25°C Ei määritetty
24 tunti
3539
Valmistajan antamat stabiiliustiedot


  Mentions Légales