Siste oppdatering :
27/01/2026
Antikoagulantia   Bivalirudin  
Injeksjon
Oppløsningsstabilitet Stabilitet i blandinger Faktorer som påvirker stabiliteten Kompatibilitet Administrasjonsmåte Referanser pdf
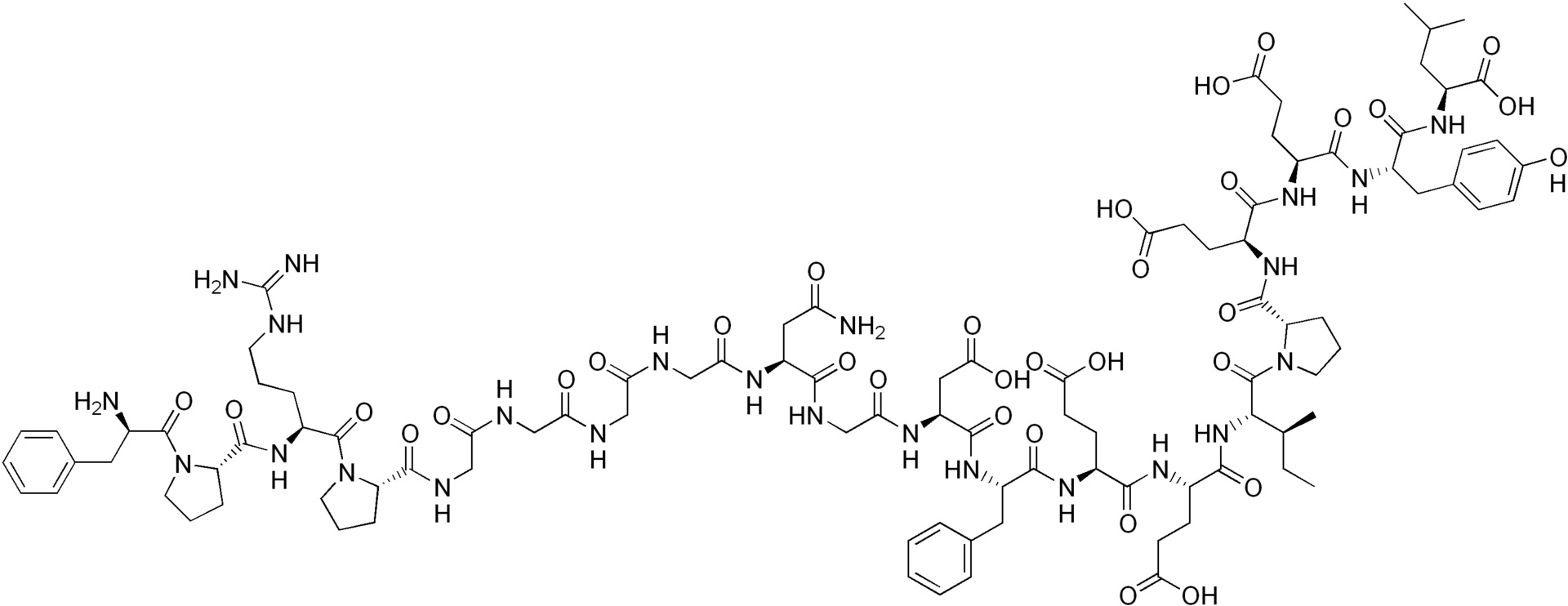
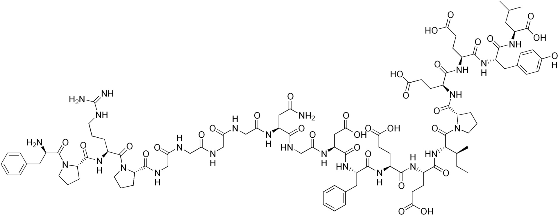
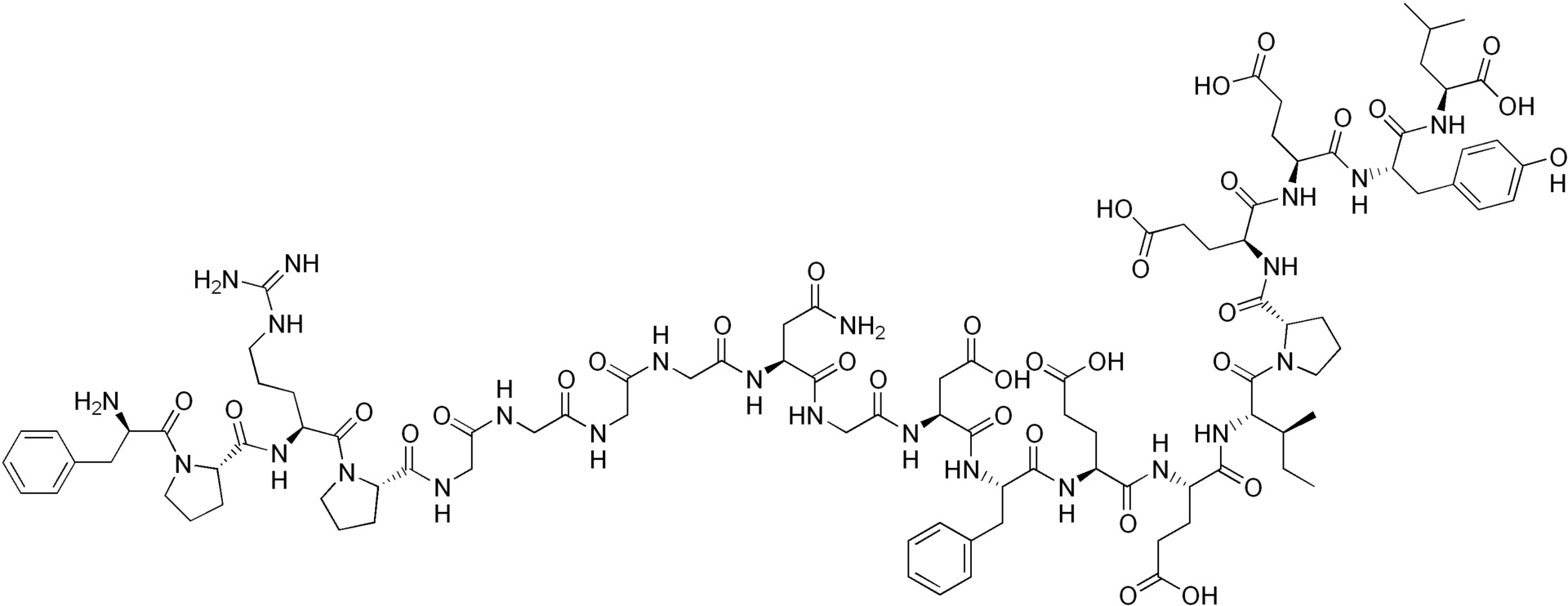
   Kjemisk struktur  

Handelsnavn   Handelsnavn     

Handelsnavn er veiledende og sammensetning av hjelpestoffer kan være forskjellig avhengig av land og produsent

Amuprux Argentina
Angiomax Australia, Canada, Chile, New Zealand, Peru, USA, Venezuela
Angiox Danmark, Finland, Hellas, Island, Italia, Nederland, Norge, Polen, Romania, Slovenia, Spania, Storbritannia, Ungarn, USA, Østerrike
Bivalirudin Belgia, Danmark, Finland, Slovenia, Storbritannia, Sverige, Tyskland
Bivalirudina Italia, Spania
Oppløsningsstabilitet   Injeksjon   Oppløsningsstabilitet : Bivalirudin     
Beholder Oppløsningsmiddel Konsentrasjon Temperatur Oppbevaring Varighet av stabilitet Referanser
Glass Vann til injeksjon 50 mg/ml 2-8°C Ikke angitt
24 Tid
3539
Stabilitetsopplysninger fra produsent

Ikke angitt Natriumklorid 0,9 % 5 mg/ml 25°C Ikke angitt
24 Tid
3539
Stabilitetsopplysninger fra produsent

Ikke angitt Glukose 5 % 5 mg/ml 25°C Ikke angitt
24 Tid
3539
Stabilitetsopplysninger fra produsent


  Mentions Légales