Τελευταία ενημέρωση :
27/01/2026
Αντιπηκτικό   Bivalirudin  
Ενέσιμο
Σταθερότητα διαλυμάτων Σταθερότητα σε μίγματα Παράγοντας που επηρεάζει τη σταθερότητα Συμβατότητες Τρόπος χορήγησης Βιβλιογραφία pdf
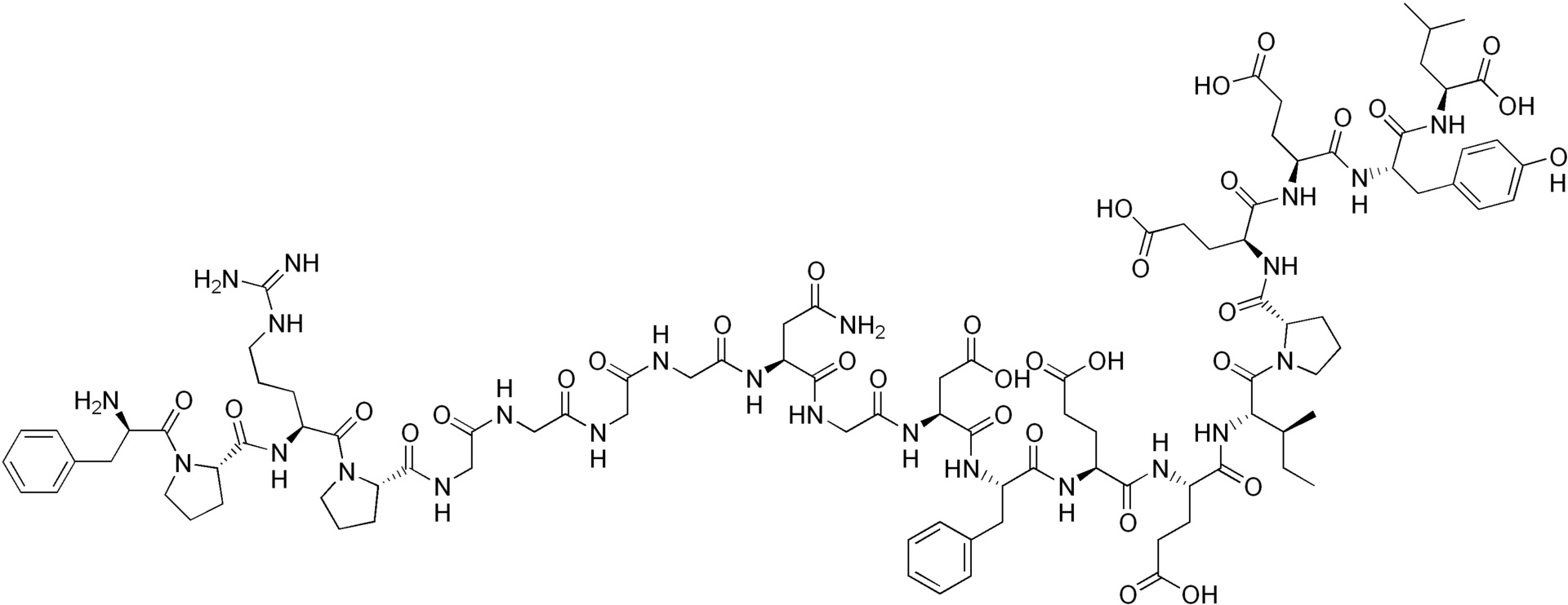
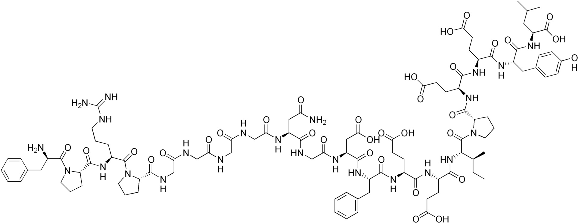
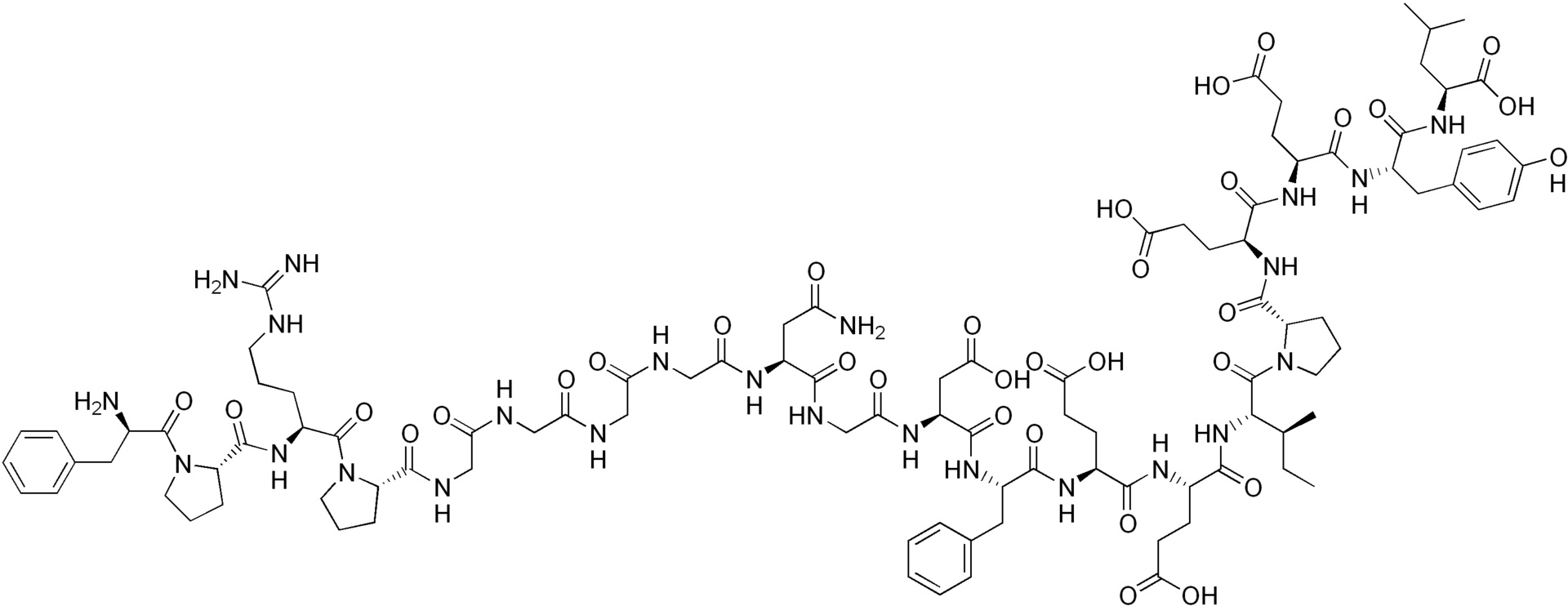
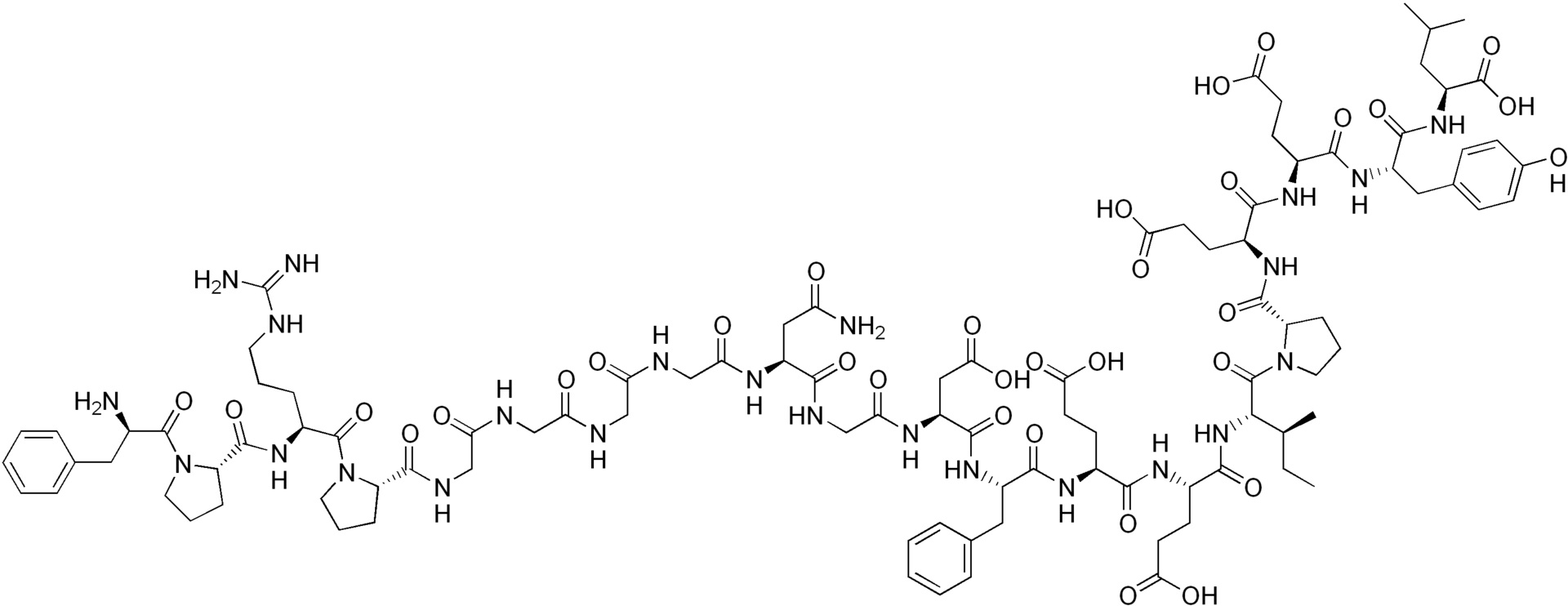
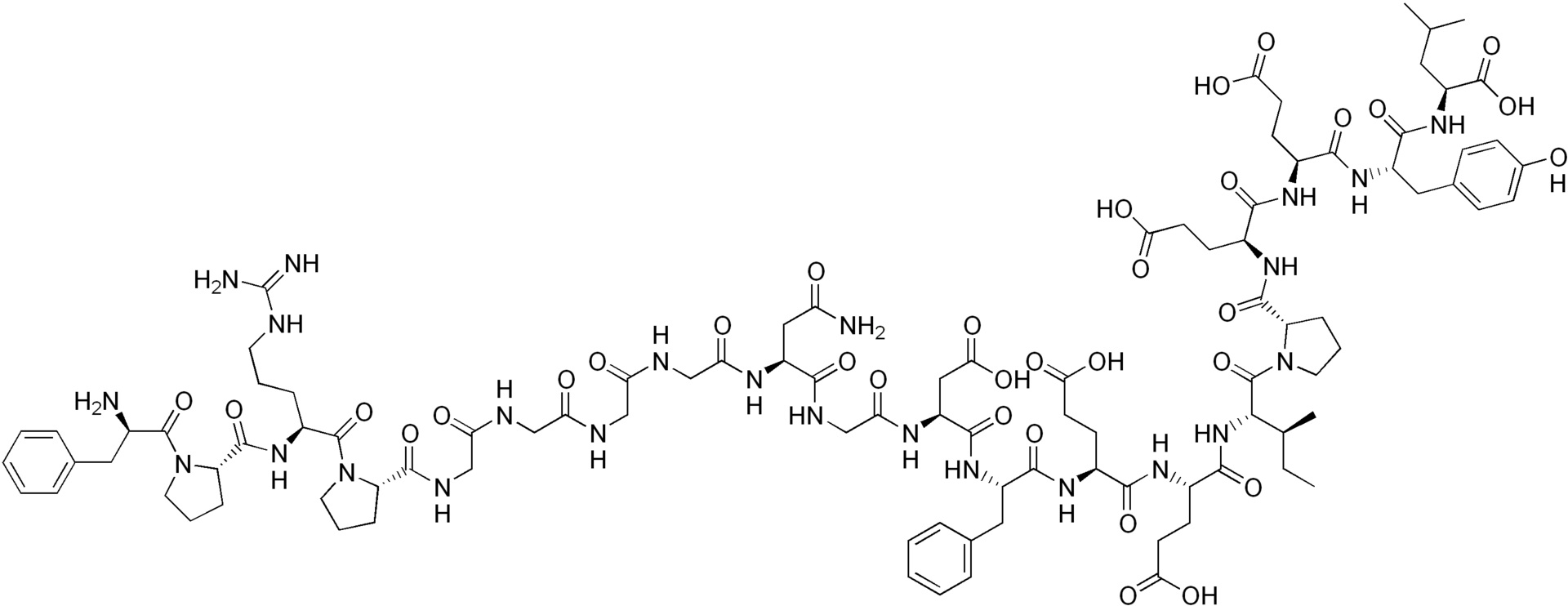
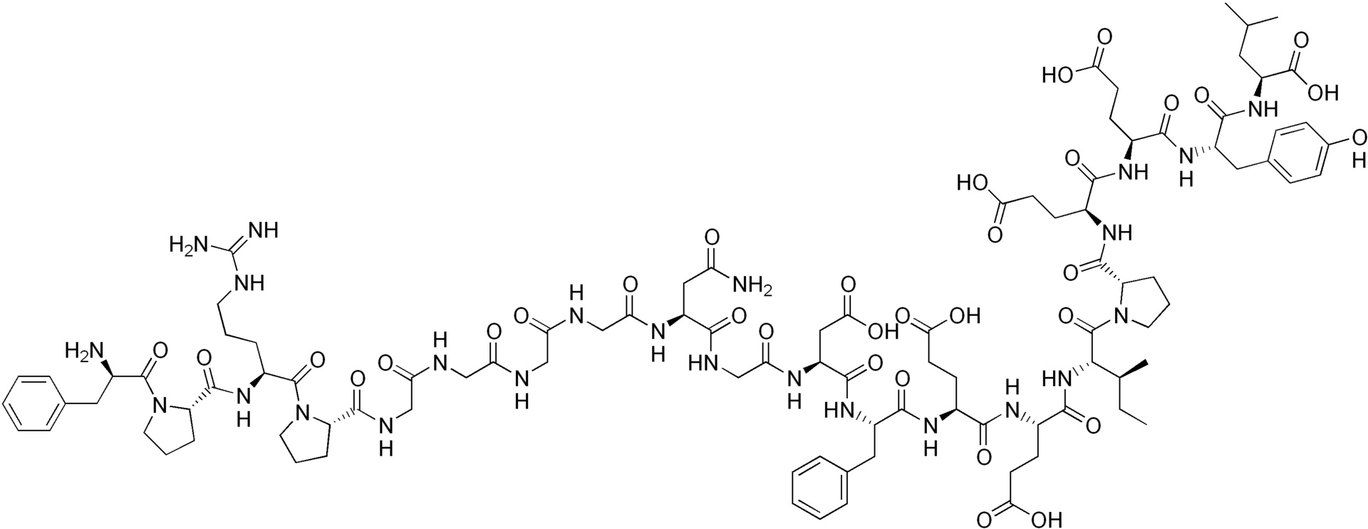
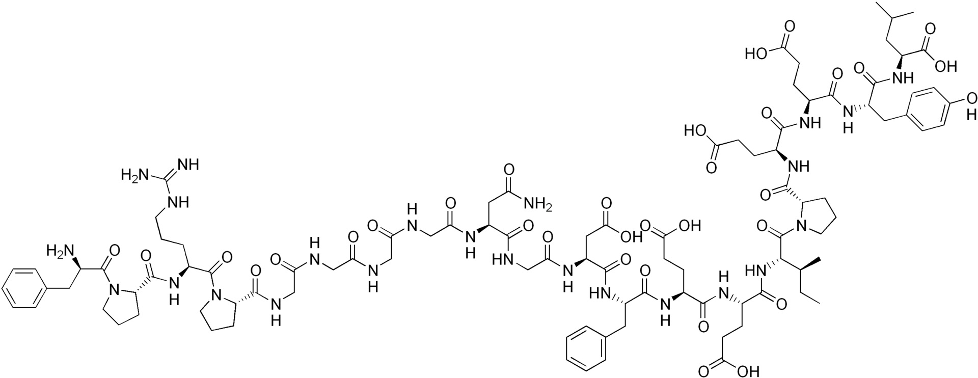
   χημική δομή  

Εμπορική ονομασία   Εμπορική ονομασία     

Οι εμπορικές ονομασίες είναι ενδεικτικές και η σύνθεση των εκδόχων μπορεί να διαφέρει ανάλογα με τη χώρα και τα εργαστήρια

Amuprux Αργεντινή
Angiomax Αυστραλία, Βενεζουέλα, Η.Π.Α., Καναδάς, νέα Ζηλανδία, Περού, Χιλή
Angiox Αυστρία, Δανία, Ελλάδα, Η.Π.Α., Ισλανδία, Ισπανία, Ιταλία, Μεγάλη Βρετανία, Νορβηγία, Ολλανδία, Ουγγαρία, Πολωνία, Ρουμανία, Σλοβενία, Φινλανδία
Bivalirudin Βέλγιο, Γερμανία, Δανία, Μεγάλη Βρετανία, Σλοβενία, Σουηδία, Φινλανδία
Bivalirudina Ισπανία, Ιταλία
Σταθερότητα διαλυμάτων   Ενέσιμο   Σταθερότητα διαλυμάτων : Bivalirudin     
Υποδοχέας Διαλυτικό Συγκέντρωση Θερμοκρασία Αποθήκευση Διάρκεια σταθερότητας Βιβλιογραφία
Ύαλος Ενέσιμο ύδωρ 50 mg/ml 2-8°C Απροσδιόριστο
24 Ώρα
3539
Δεδομένα σταθερότητας του κατασκευαστή/ών

Απροσδιόριστο Χλωριούχο νάτριο 0,9% 5 mg/ml 25°C Απροσδιόριστο
24 Ώρα
3539
Δεδομένα σταθερότητας του κατασκευαστή/ών

Απροσδιόριστο Γλυκόζη 5% 5 mg/ml 25°C Απροσδιόριστο
24 Ώρα
3539
Δεδομένα σταθερότητας του κατασκευαστή/ών


  Mentions Légales