Last update :
27/01/2026
Anticoagulant   Bivalirudin  
injection
Stability in solutions Stability of mixtures Factors which affect stability Compatibility Route of administration References pdf
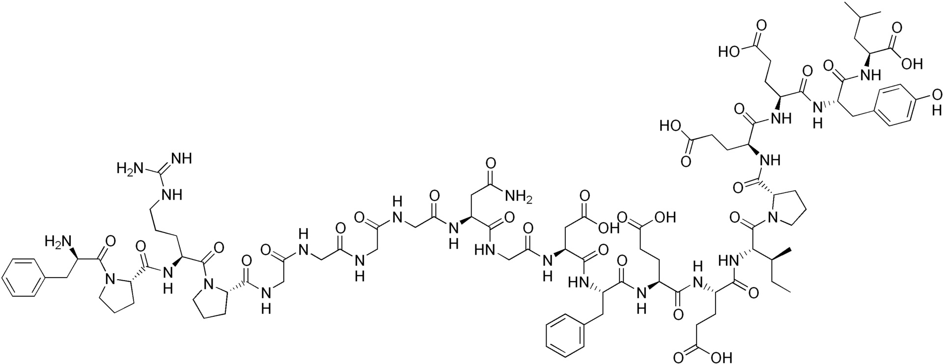
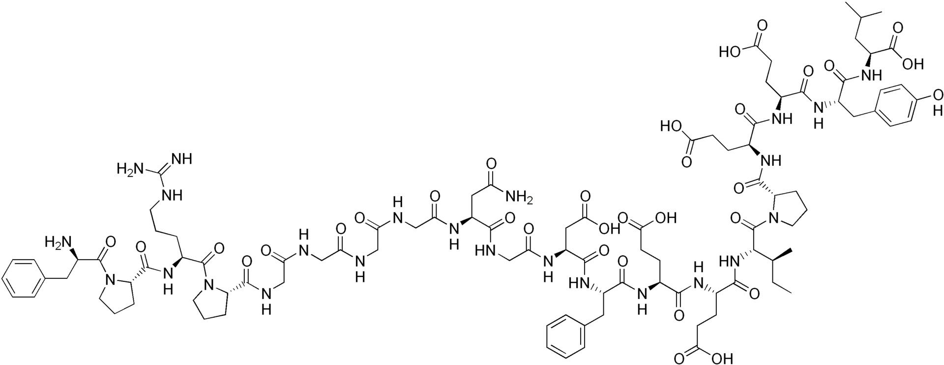
   Chemical structure  

Tradename   Tradename     

Trade names are indicative and excipients composition can be different depending on the country and manufacturers

Amuprux Argentina
Angiomax Australia, Canada, Chile, New Zealand, Peru, United States of America, Venezuela
Angiox Austria, Denmark, Finland, Great Britain, Greece, Hungary, Iceland, Italy, Netherlands, Norway, Poland, Romania, Slovenia, Spain, United States of America
Bivalirudin Belgium, Denmark, Finland, Germany, Great Britain, Slovenia, Sweden
Bivalirudina Italy, Spain
Stability in solutions   injection   Stability in solutions : Bivalirudin     
Container Solvent Concentration Temperature Storage Duration of stability References
Glass Water for Injection 50 mg/ml 2-8°C Not specified
24 Hour
3539
Manufacturer's stability data

Not specified Sodium chloride 0,9% 5 mg/ml 25°C Not specified
24 Hour
3539
Manufacturer's stability data

Not specified Glucose 5% 5 mg/ml 25°C Not specified
24 Hour
3539
Manufacturer's stability data


  Mentions Légales