Senaste uppdateringen :
27/01/2026
Antikoagulans   Bivalirudin  
injektion
Lösningars stabilitet Stabilitet i blandningar Faktorer som påverkar stabiliteten Kompatibilitet Administreringssätt Hänvisningar pdf
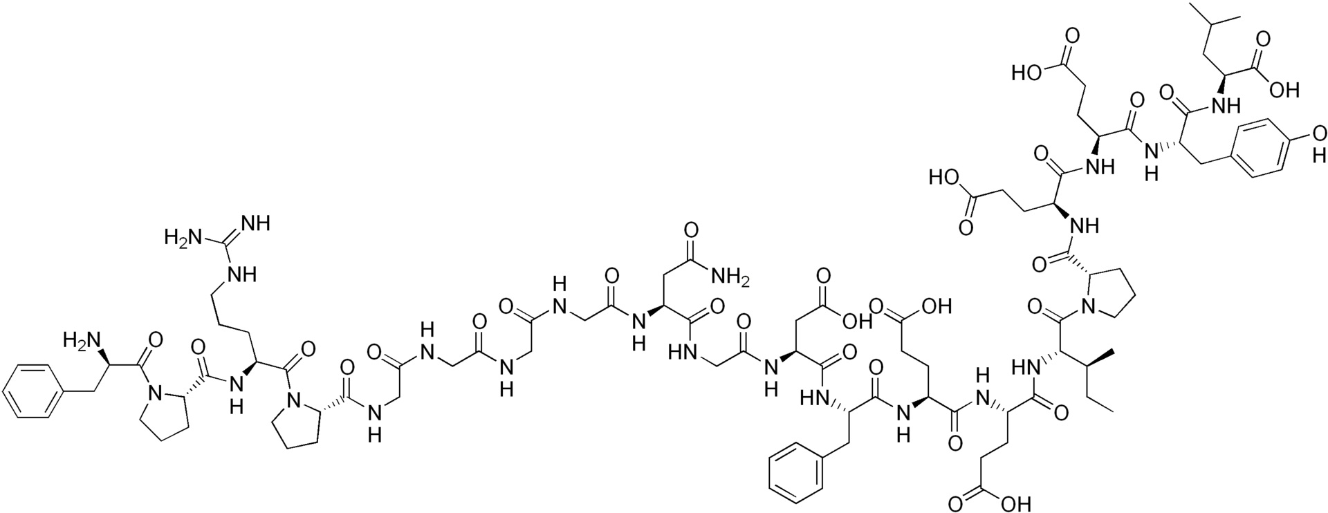
   Molekylstruktur  

Varunamn   Varunamn     

Angivna handelsnamn på läkemedel är enbart vägledande då formulering inklusive hjälpämnen kan variera mellan länder och tillverkare

Amuprux Argentina
Angiomax Australien, Chile, Förenta Staterna, Kanada, nya Zeeland, Peru, Venezuela
Angiox Danmark, Finland, Förenta Staterna, Grekland, Island, Italien, Nederländerna, Norge, Österrike, Polen, Rumänien, Slovenien, Spanien, Storbritannien, Ungern
Bivalirudin Belgien, Danmark, Finland, Slovenien, Storbritannien, Sverige, Tyskland
Bivalirudina Italien, Spanien
Administreringssätt   Administreringssätt :Bivalirudin     
Voie
Intravenös

  Mentions Légales