Seneste opdatering :
27/01/2026
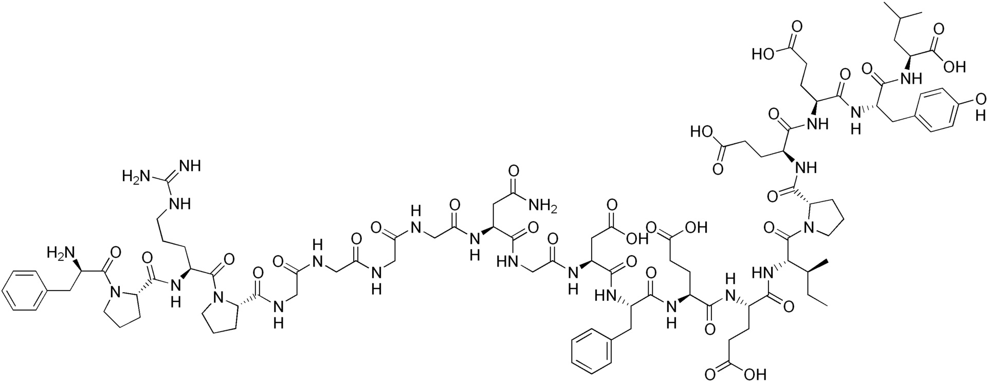
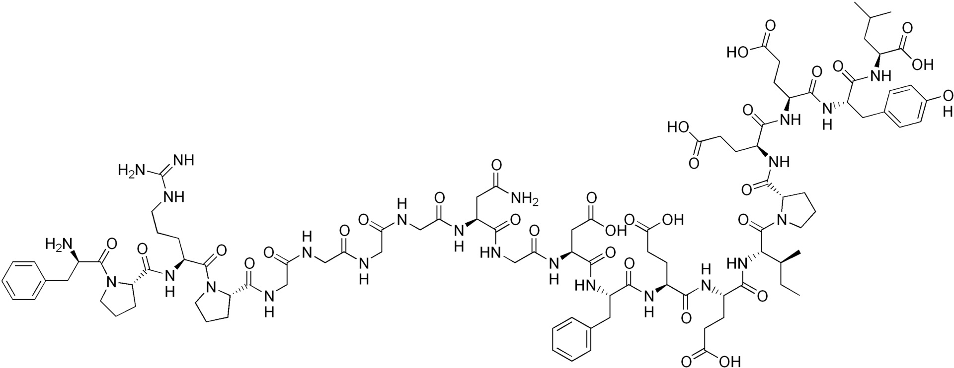
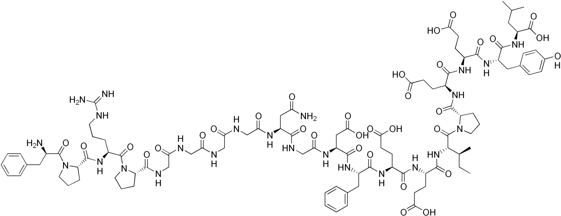
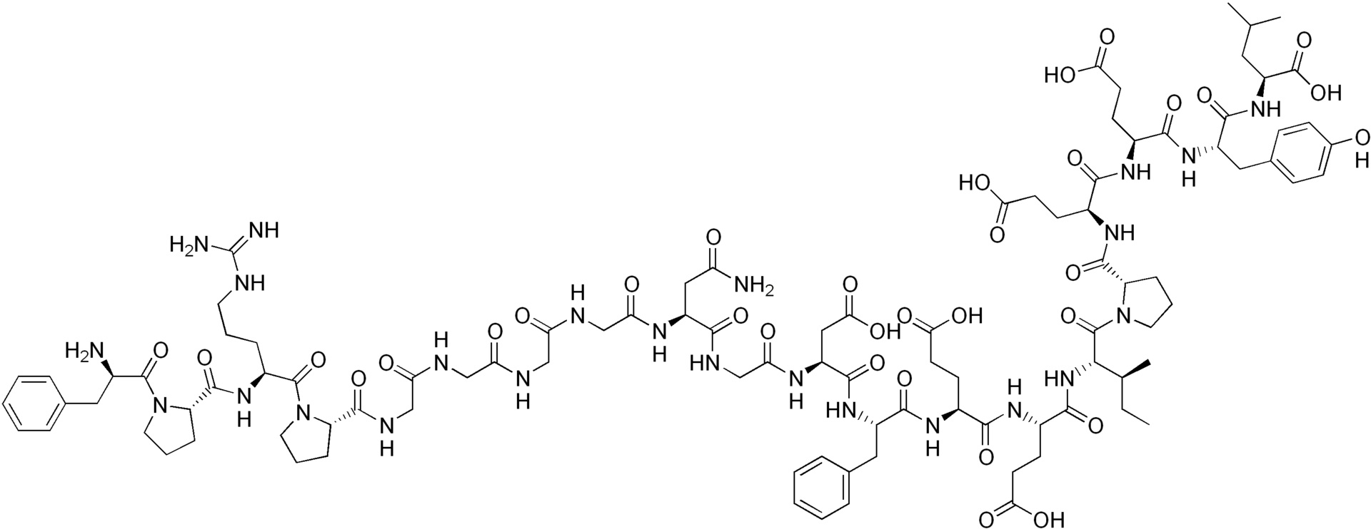
Antikoagulant   Bivalirudin  
Injektion
Stabilitet i (vandige) opløsninger Stabilitet i blandinger Faktorer der påvirker stabiliteten Kompatibilitet Administrationsvej Bibliografi pdf
   Kemisk struktur  

Handelsnavn   Handelsnavn     

Handel navne er vejledende og hjælpestoffer sammensætning kan være forskellig afhængigt af landet og laboratorier

Amuprux Argentina
Angiomax Australien, Canada, Chile, Marokko, New Zealand, USA, Venezuela
Angiox Danmark, Finland, Grækenland, Holland, Island, Italien, Norge, Polen, Rumænien, Slovenien, Spanien, Storbritanien, Ungarn, USA, Østrig
Bivalirudin Belgien, Danmark, Finland, Slovenien, Storbritanien, Sverige, Tyskland
Bivalirudina Italien, Spanien
Administrationsvej   Administrationsvej :Bivalirudin     
Voie
Intravenøs

  Mentions Légales