آخر تحديث :
27/01/2026
  مضاد للتخثر   Bivalirudin  
حقن
الاستقرار في حلول استقرار مخاليط العوامل التي تؤثر على الاستقرار التوافق طريقة التعاطي مراجع pdf
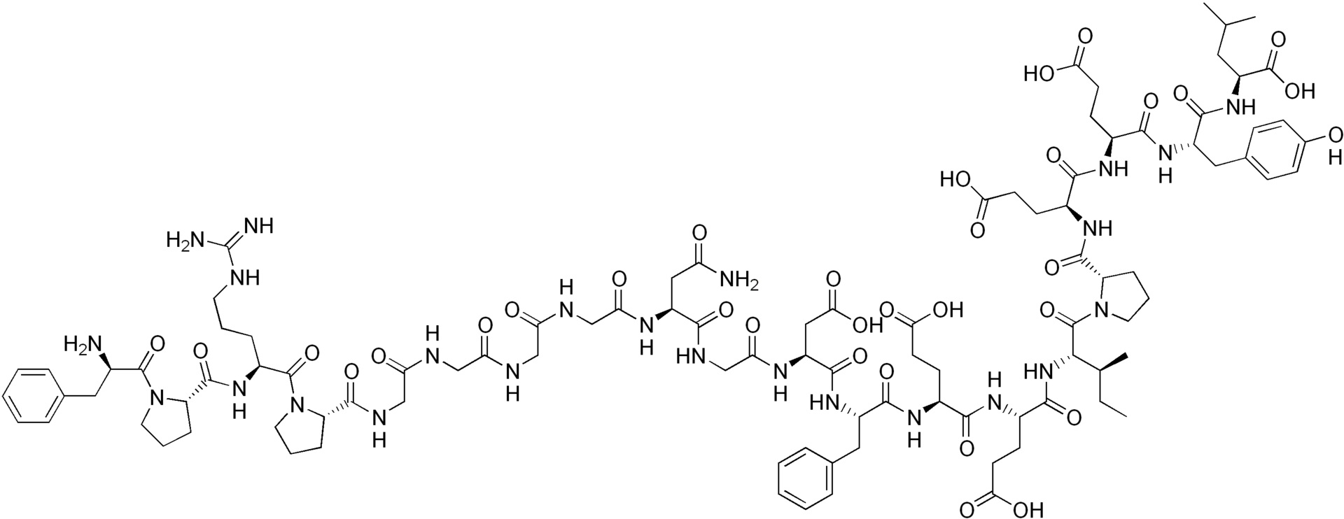
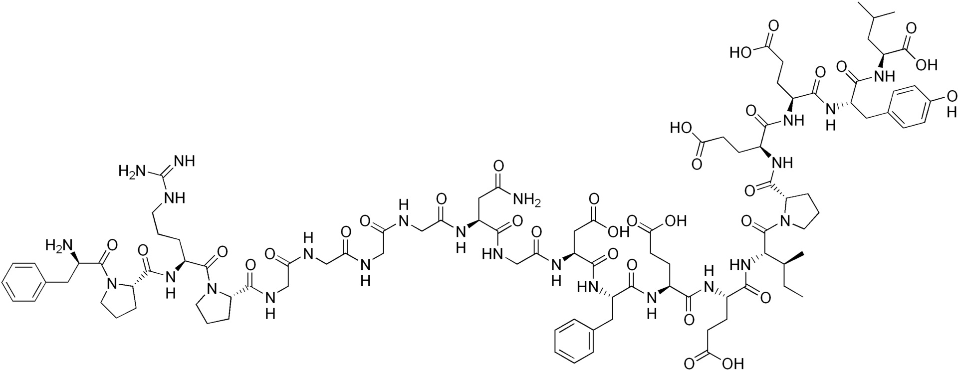
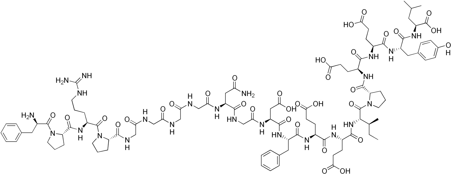
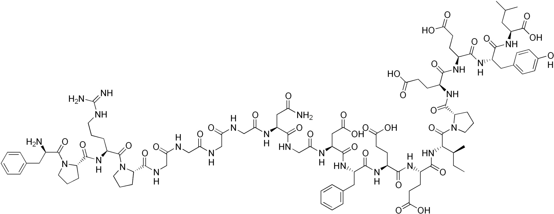
   التركيب الكيميائي  

حجز الاسم التجاري   حجز الاسم التجاري     

تحذير الأسماء التجاريه المختلفه قد تحتوي علي محتوي إضافات مختلفة حسب الدوله و المعمل

Amuprux الأرجنتين
Angiomax أستراليا, الولايات المتحدة, بيرو, تشيلي, زيلاندا الجديدة, فنزويلا, كندا
Angiox أيسلندا, إسبانيا, إيطاليا, الدنمارك, النرويج, النمسا, الولايات المتحدة, بريطانيا العظمي, بولندا, رومانيا, سلوفينيا, فنلندا, هنغاريا, هولندا, يونان
Bivalirudin ألمانيا, الدنمارك, السويد, بريطانيا العظمي, بلجيكا, سلوفينيا, فنلندا
Bivalirudina إسبانيا, إيطاليا
طريقة التعاطي   طريقة التعاطي :Bivalirudin     
Voie
وريدي

  Mentions Légales