Poslední aktualizace :
27/01/2026
Antikoaguliantas   Bivalirudin  
Įpurškimas
Tirpalų stabilumas Mišinių stabilumas Stabilumą lemiantys veiksniai Suderinamumas Leidimo būdai Bibliografija pdf
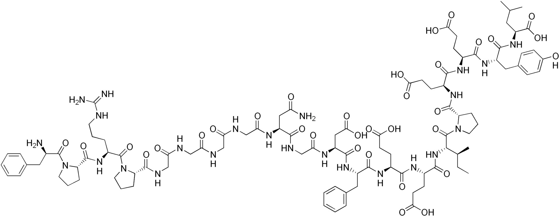
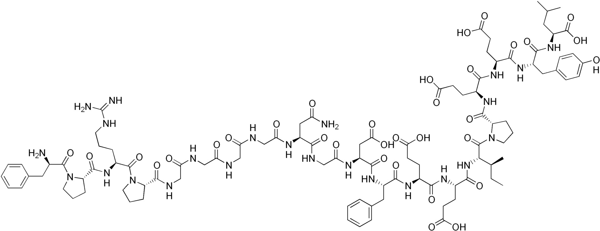
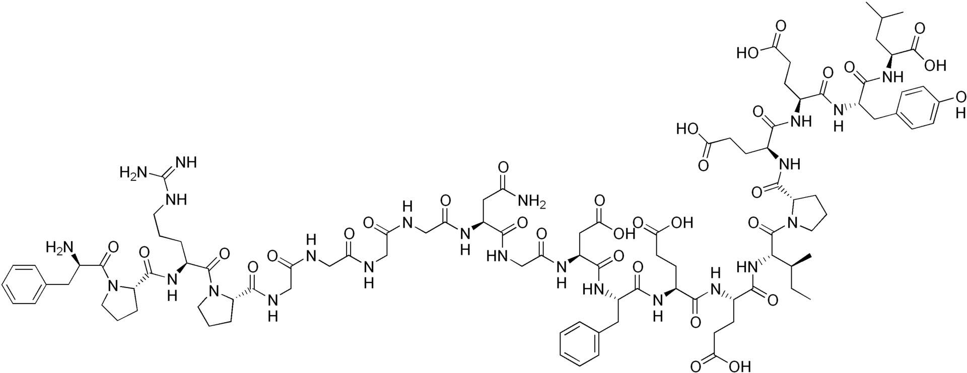
   Cheminė sandara  

Prekinis pavadinimas   Prekinis pavadinimas     

Trade names are indicative and excipients composition can be different depending on the country and manufacturers

Amuprux Argentina
Angiomax Australija, Čilė, Jungtinės Amerikos Valstijos, Kanada, Naujojoje Zelandijoje, Peru, Venesuela
Angiox Austrija, Danija, Didžioji Britanija, Graikija, Islandija, Ispanija, Italija, Jungtinės Amerikos Valstijos, Lenkija, Norvegija, Olandija, Rumunija, Slovėnija, Suomija, Vengrija
Bivalirudin Belgija, Danija, Didžioji Britanija, Slovėnija, Suomija, Švedija, Vokietija
Bivalirudina Ispanija, Italija
Leidimo būdai   Leidimo būdai :Bivalirudin     
Voie
Intraveninis

  Mentions Légales