Poslední aktualizace :
27/01/2026
Antikoagulans   Bivalirudin  
injekce
Stabilita roztoků Stabilita směsí Faktory ovlivňující stabilitu Kompatibilita Způsoby aplikace Odkazy pdf
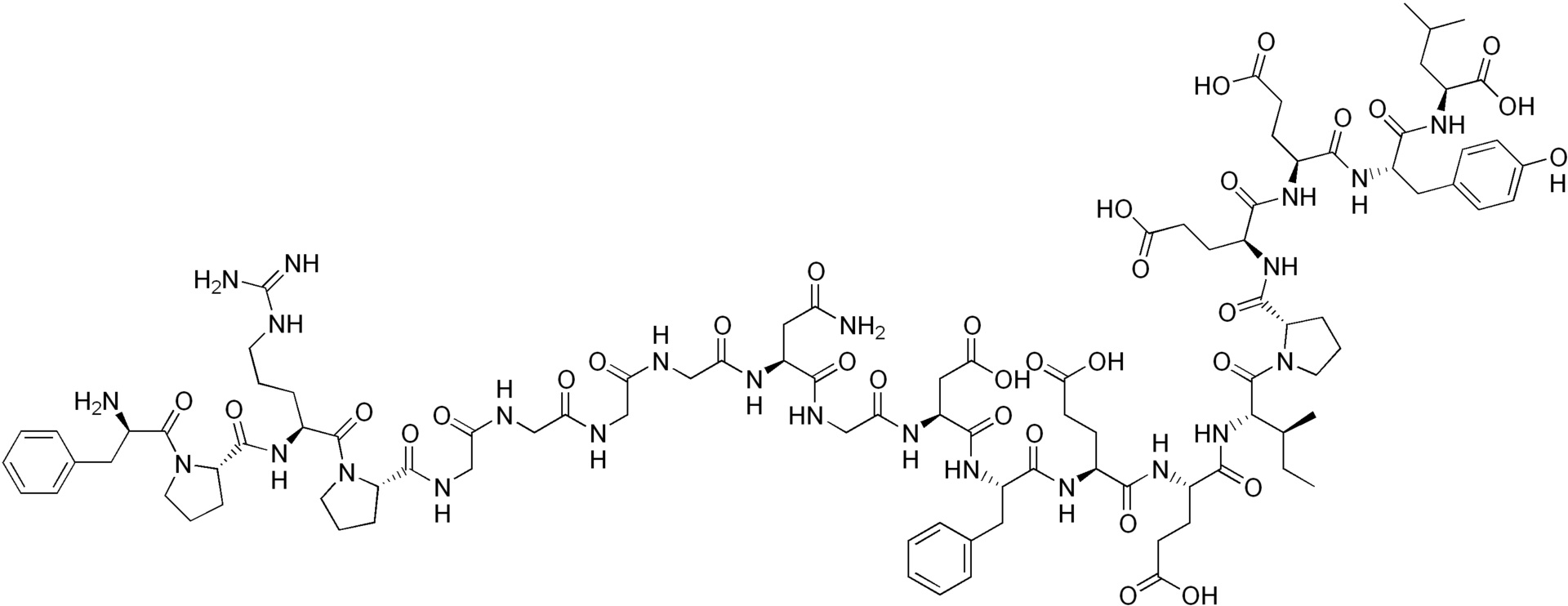
   Chemický vzorec  

Obchodní název   Obchodní název     

Trade names are indicative and excipients composition can be different depending on the country and manufacturers

Amuprux Argentina
Angiomax Austrálie, Chile, Kanada, nový Zéland, Peru, USA, Venezuela
Angiox äpanÏlsko, Dánsko, Finsko, Island, Itálie, MaÔarsko, Nizozemsko, Norsko, Polsko, Rakousko, Rumunsko, Slovinsko, USA, Velká Británie, ÿecko
Bivalirudin Belgie, Dánsko, Finsko, NÏmecko, Slovinsko, Švédsko, Velká Británie
Bivalirudina äpanÏlsko, Itálie
Způsoby aplikace   Způsoby aplikace :Bivalirudin     
Voie
intravenÛznÏ

  Mentions Légales