Останнє оновлення :
27/04/2026
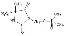
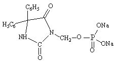
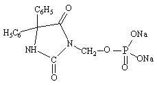
протиепілептичний   Fosphenytoin sodium  
ін'єкція
Стійкість в розчинах Стійкість сумішей Фактори, що впливають на стабільність Сумісність Шлях введення Список літератури pdf
   Хімічна структура  

Торгова назва   Торгова назва     

Торгові назви є орієнтовними, а склад допоміжних речовин може бути різним залежно від країни та виробника

Cerebryx Канада, Сполучені Штати Америки
Fosphen Індія
Fostoin Японія
Pro - Epanutin Ірландія, Ісландія, Австрія, Великобританія, Данія, Люксембург, Нідерланди, Норвегія, Фінляндія, Швеція
Prodilantin Ірландія, Ісландія, Австрія, Греція, Данія, Нідерланди, Польща, Сполучені Штати Америки, Угорщина, Фінляндія, Франція, Японія
Sesquient Сполучені Штати Америки
Стійкість в розчинах   ін'єкція   Стійкість в розчинах : Fosphenytoin sodium     
Контейнер Розчинник Концентрація температура Зберігання Тривалість стабільності Список літератури
скло Натрію хлорид 0,9% 1 & 8 & 20 mg/ml 25°C Не визначено
30 День
800
Рівень доказовості А

скло Натрію хлорид 0,9% 1 & 8 & 20 mg/ml 4°C Берегти від світла
30 День
800
Рівень доказовості А

скло Глюкоза 5% 1 & 8 & 20 mg/ml 25°C Не визначено
30 День
800
Рівень доказовості А

скло Глюкоза 5% 1 & 8 & 20 mg/ml 4°C Берегти від світла
30 День
800
Рівень доказовості А

Полівініл хлорид Натрію хлорид 0,9% 1 & 8 & 20 mg/ml -20°C Берегти від світла
30 День
800
Рівень доказовості А

Полівініл хлорид Натрію хлорид 0,9% 1 & 8 & 20 mg/ml 25°C Не визначено
30 День
800
Рівень доказовості А

Полівініл хлорид Натрію хлорид 0,9% 1 & 8 & 20 mg/ml 4°C Берегти від світла
30 День
800
Рівень доказовості А

Полівініл хлорид Глюкоза 5% 1 & 8 & 20 mg/ml -20°C Берегти від світла
30 День
800
Рівень доказовості А

Полівініл хлорид Глюкоза 5% 1 & 8 & 20 mg/ml 25°C Не визначено
30 День
800
Рівень доказовості А

Полівініл хлорид Глюкоза 5% 1 & 8 & 20 mg/ml 4°C Берегти від світла
30 День
800
Рівень доказовості А

Поліпропіленовий шприц Жодного 50 mg/ml -20°C світло
30 День
800
Рівень доказовості А

Поліпропіленовий шприц Жодного 50 mg/ml 25°C Не визначено
30 День
800
Рівень доказовості А

Поліпропіленовий шприц Жодного 50 mg/ml 4°C Берегти від світла
30 День
800
Рівень доказовості А


  Mentions Légales