Pēdējā atjaunošana :
27/04/2026
Antiepileptiķis   Fosphenytoin sodium  
Injekcija
Šķīduma stabilitāte Maisījuma stabilitāte Stabilitāti ietekmējoši faktori Saderība Levadīšanas veids Literatūras saraksts pdf
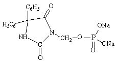
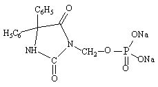
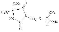
   Ķīmiskā uzbūve   

Oriģinālais nosaukums   Oriģinālais nosaukums     

Tirdzniecības nosaukumi ir apzīmējoši un palīgvielas var atšķirties dažādām valstīm un laboratorijām

Cerebryx Amerikas Savienotās Valstis, Kanāda
Fosphen Indija
Fostoin Japāna
Pro - Epanutin Austrija, Dānija, Holande, Īrija, Islande, Lielbritānija, Luksemburga, Norvēģija, Somija, Zviedrija
Prodilantin Amerikas Savienotās Valstis, Austrija, Dānija, Francija, Grieķija, Holande, Īrija, Islande, Japāna, Polija, Somija, Ungārija
Sesquient Amerikas Savienotās Valstis
Šķīduma stabilitāte   Injekcija   Šķīduma stabilitāte : Fosphenytoin sodium     
Iepakojums Šķīdinātājs Koncentrācija Temperatūra Glabāšana Stabilitātes ilgums Literatūras saraksts
Stikls Nātrija hlorīds 0.9% 1 & 8 & 20 mg/ml 25°C Nav specifisks
30 Diena
800
Pierādījumu līmenis A

Stikls Nātrija hlorīds 0.9% 1 & 8 & 20 mg/ml 4°C Aizsargāt no gaismas
30 Diena
800
Pierādījumu līmenis A

Stikls 5% glikoze 1 & 8 & 20 mg/ml 25°C Nav specifisks
30 Diena
800
Pierādījumu līmenis A

Stikls 5% glikoze 1 & 8 & 20 mg/ml 4°C Aizsargāt no gaismas
30 Diena
800
Pierādījumu līmenis A

Polivinilhlorīds Nātrija hlorīds 0.9% 1 & 8 & 20 mg/ml -20°C Aizsargāt no gaismas
30 Diena
800
Pierādījumu līmenis A

Polivinilhlorīds Nātrija hlorīds 0.9% 1 & 8 & 20 mg/ml 25°C Nav specifisks
30 Diena
800
Pierādījumu līmenis A

Polivinilhlorīds Nātrija hlorīds 0.9% 1 & 8 & 20 mg/ml 4°C Aizsargāt no gaismas
30 Diena
800
Pierādījumu līmenis A

Polivinilhlorīds 5% glikoze 1 & 8 & 20 mg/ml -20°C Aizsargāt no gaismas
30 Diena
800
Pierādījumu līmenis A

Polivinilhlorīds 5% glikoze 1 & 8 & 20 mg/ml 25°C Nav specifisks
30 Diena
800
Pierādījumu līmenis A

Polivinilhlorīds 5% glikoze 1 & 8 & 20 mg/ml 4°C Aizsargāt no gaismas
30 Diena
800
Pierādījumu līmenis A

Šļirce polipropilēna Nekāds 50 mg/ml -20°C Gaisma
30 Diena
800
Pierādījumu līmenis A

Šļirce polipropilēna Nekāds 50 mg/ml 25°C Nav specifisks
30 Diena
800
Pierādījumu līmenis A

Šļirce polipropilēna Nekāds 50 mg/ml 4°C Aizsargāt no gaismas
30 Diena
800
Pierādījumu līmenis A


  Mentions Légales