Seneste opdatering :
27/04/2026
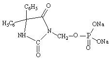
Antiepileptisk   Fosphenytoin sodium  
Injektion
Stabilitet i (vandige) opløsninger Stabilitet i blandinger Faktorer der påvirker stabiliteten Kompatibilitet Administrationsvej Bibliografi pdf
   Kemisk struktur  

Handelsnavn   Handelsnavn     

Handel navne er vejledende og hjælpestoffer sammensætning kan være forskellig afhængigt af landet og laboratorier

Cerebryx Canada, USA
Fosphen Indien
Fostoin Japan
Pro - Epanutin Danmark, Finland, Holland, Irland, Island, Luxemborg, Norge, Storbritanien, Sverige, Østrig
Prodilantin Danmark, Finland, Frankrig, Grækenland, Holland, Irland, Island, Japan, Polen, Ungarn, USA, Østrig
Sesquient USA
Stabilitet i (vandige) opløsninger   Injektion   Stabilitet i (vandige) opløsninger : Fosphenytoin sodium     
Beholder Opløsningsmiddel Koncentration Temperatur Konservering Varighed af stabilitet Bibliografi
Glas 0,9 % Natriumklorid 1 & 8 & 20 mg/ml 25°C Ikke nærmere angivet
30 Dag
800
Level af bevismateriale A

Glas 0,9 % Natriumklorid 1 & 8 & 20 mg/ml 4°C Beskyt mod lys
30 Dag
800
Level af bevismateriale A

Glas 5 % Glukose 1 & 8 & 20 mg/ml 25°C Ikke nærmere angivet
30 Dag
800
Level af bevismateriale A

Glas 5 % Glukose 1 & 8 & 20 mg/ml 4°C Beskyt mod lys
30 Dag
800
Level af bevismateriale A

Polyvinylklorid 0,9 % Natriumklorid 1 & 8 & 20 mg/ml -20°C Beskyt mod lys
30 Dag
800
Level af bevismateriale A

Polyvinylklorid 0,9 % Natriumklorid 1 & 8 & 20 mg/ml 25°C Ikke nærmere angivet
30 Dag
800
Level af bevismateriale A

Polyvinylklorid 0,9 % Natriumklorid 1 & 8 & 20 mg/ml 4°C Beskyt mod lys
30 Dag
800
Level af bevismateriale A

Polyvinylklorid 5 % Glukose 1 & 8 & 20 mg/ml -20°C Beskyt mod lys
30 Dag
800
Level af bevismateriale A

Polyvinylklorid 5 % Glukose 1 & 8 & 20 mg/ml 25°C Ikke nærmere angivet
30 Dag
800
Level af bevismateriale A

Polyvinylklorid 5 % Glukose 1 & 8 & 20 mg/ml 4°C Beskyt mod lys
30 Dag
800
Level af bevismateriale A

sprøjte polypropylen Ingen 50 mg/ml -20°C Lys
30 Dag
800
Level af bevismateriale A

sprøjte polypropylen Ingen 50 mg/ml 25°C Ikke nærmere angivet
30 Dag
800
Level af bevismateriale A

sprøjte polypropylen Ingen 50 mg/ml 4°C Beskyt mod lys
30 Dag
800
Level af bevismateriale A


  Mentions Légales