Son güncelleme :
27/04/2026
Antiepileptik   Fosphenytoin sodium  
Enjeksiyon
Çözeltilerin stabilitesi Karışımlardaki stabilitesi Stabiliteyi etkileyen faktörler Uyumluluk Uygulama yöntemi Kaynaklar pdf
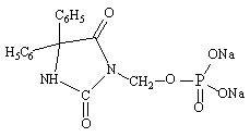
   Kimyasal yapı   

Ticari isim   Ticari isim     

Trade names are indicative and excipients composition can be different depending on the country and manufacturers

Cerebryx Amerika Birleşik Devletleri, Kanada
Fosphen Hindistan
Fostoin Japonya
Pro - Epanutin Avusturya, Büyük Britanya, Danimarka, Finlandiya, Hollanda, İrlanda, İsveç, İzlanda, Lüksemburg, Norveç
Prodilantin Amerika Birleşik Devletleri, Avusturya, Danimarka, Finlandiya, Fransa, Hollanda, İrlanda, İzlanda, Japonya, Macaristan, Polonya, Yunanistan
Sesquient Amerika Birleşik Devletleri
Çözeltilerin stabilitesi   Enjeksiyon    Çözeltilerin stabilitesi : Fosphenytoin sodium     
Saklama kabı Çözücü Konsantrasyon Isı Saklama    Stabilite süresi Kaynaklar
Cam Sodyum klorür % 0,9 1 & 8 & 20 mg/ml 25°C Belirtilmemiş
30 Gün
800
Kanıt düzeyi A

Cam Sodyum klorür % 0,9 1 & 8 & 20 mg/ml 4°C Işıktan koruyunuz
30 Gün
800
Kanıt düzeyi A

Cam Glukoz %5 1 & 8 & 20 mg/ml 25°C Belirtilmemiş
30 Gün
800
Kanıt düzeyi A

Cam Glukoz %5 1 & 8 & 20 mg/ml 4°C Işıktan koruyunuz
30 Gün
800
Kanıt düzeyi A

Polivinil klorür Sodyum klorür % 0,9 1 & 8 & 20 mg/ml -20°C Işıktan koruyunuz
30 Gün
800
Kanıt düzeyi A

Polivinil klorür Sodyum klorür % 0,9 1 & 8 & 20 mg/ml 25°C Belirtilmemiş
30 Gün
800
Kanıt düzeyi A

Polivinil klorür Sodyum klorür % 0,9 1 & 8 & 20 mg/ml 4°C Işıktan koruyunuz
30 Gün
800
Kanıt düzeyi A

Polivinil klorür Glukoz %5 1 & 8 & 20 mg/ml -20°C Işıktan koruyunuz
30 Gün
800
Kanıt düzeyi A

Polivinil klorür Glukoz %5 1 & 8 & 20 mg/ml 25°C Belirtilmemiş
30 Gün
800
Kanıt düzeyi A

Polivinil klorür Glukoz %5 1 & 8 & 20 mg/ml 4°C Işıktan koruyunuz
30 Gün
800
Kanıt düzeyi A

Şırınga polipropilen Yok 50 mg/ml -20°C I_ık
30 Gün
800
Kanıt düzeyi A

Şırınga polipropilen Yok 50 mg/ml 25°C Belirtilmemiş
30 Gün
800
Kanıt düzeyi A

Şırınga polipropilen Yok 50 mg/ml 4°C Işıktan koruyunuz
30 Gün
800
Kanıt düzeyi A


  Mentions Légales