Laatste update :
27/04/2026
Anti-epilepticum   Fosphenytoin sodium  
injecteerbaar geneesmiddel
Stabiliteit in oplossing Stabiliteit in mengsels Factoren die de stabiliteit beïnvloeden Verenigbaarheden Toedieningswijze Literatuur pdf
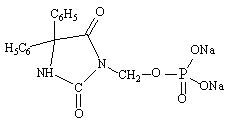
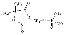
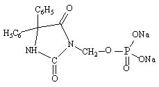
   Molecuulstructuur  

Merknamen in verschillende landen   Merknamen in verschillende landen     

Handelsnamen zijn slechts een indicatie; de samenstelling van hulpstoffen kan per land variëren afhankelijk van de fabrikant

Cerebryx Canada, USA
Fosphen Indië
Fostoin Japan
Pro - Epanutin Denemarken, Finland, Groot Britannië, Ierland, IJsland, Luxemburg, Nederland, Noorwegen, Oostenrijk, Zweden
Prodilantin Denemarken, Finland, Frankrijk, Griekenland, Hongarije, Ierland, IJsland, Japan, Nederland, Oostenrijk, Polen, USA
Sesquient USA
Stabiliteit in oplossing   injecteerbaar geneesmiddel   Stabiliteit in oplossing : Fosphenytoin sodium     
Verpakking Oplosmiddel Concentratie Temperatuur Bewaring Duur van de stabiliteit Literatuur
Glas Natriumchloride 0,9% 1 & 8 & 20 mg/ml 25°C Niet gespecificeerd
30 Dag
800
Bewijsniveau A

Glas Natriumchloride 0,9% 1 & 8 & 20 mg/ml 4°C Buiten invloed van licht
30 Dag
800
Bewijsniveau A

Glas Glucose 5% 1 & 8 & 20 mg/ml 25°C Niet gespecificeerd
30 Dag
800
Bewijsniveau A

Glas Glucose 5% 1 & 8 & 20 mg/ml 4°C Buiten invloed van licht
30 Dag
800
Bewijsniveau A

Polyvinylchloride (PVC) Natriumchloride 0,9% 1 & 8 & 20 mg/ml -20°C Buiten invloed van licht
30 Dag
800
Bewijsniveau A

Polyvinylchloride (PVC) Natriumchloride 0,9% 1 & 8 & 20 mg/ml 25°C Niet gespecificeerd
30 Dag
800
Bewijsniveau A

Polyvinylchloride (PVC) Natriumchloride 0,9% 1 & 8 & 20 mg/ml 4°C Buiten invloed van licht
30 Dag
800
Bewijsniveau A

Polyvinylchloride (PVC) Glucose 5% 1 & 8 & 20 mg/ml -20°C Buiten invloed van licht
30 Dag
800
Bewijsniveau A

Polyvinylchloride (PVC) Glucose 5% 1 & 8 & 20 mg/ml 25°C Niet gespecificeerd
30 Dag
800
Bewijsniveau A

Polyvinylchloride (PVC) Glucose 5% 1 & 8 & 20 mg/ml 4°C Buiten invloed van licht
30 Dag
800
Bewijsniveau A

injectiespuit polypropyleen Geen 50 mg/ml -20°C Licht
30 Dag
800
Bewijsniveau A

injectiespuit polypropyleen Geen 50 mg/ml 25°C Niet gespecificeerd
30 Dag
800
Bewijsniveau A

injectiespuit polypropyleen Geen 50 mg/ml 4°C Buiten invloed van licht
30 Dag
800
Bewijsniveau A


  Mentions Légales