Senaste uppdateringen :
27/04/2026
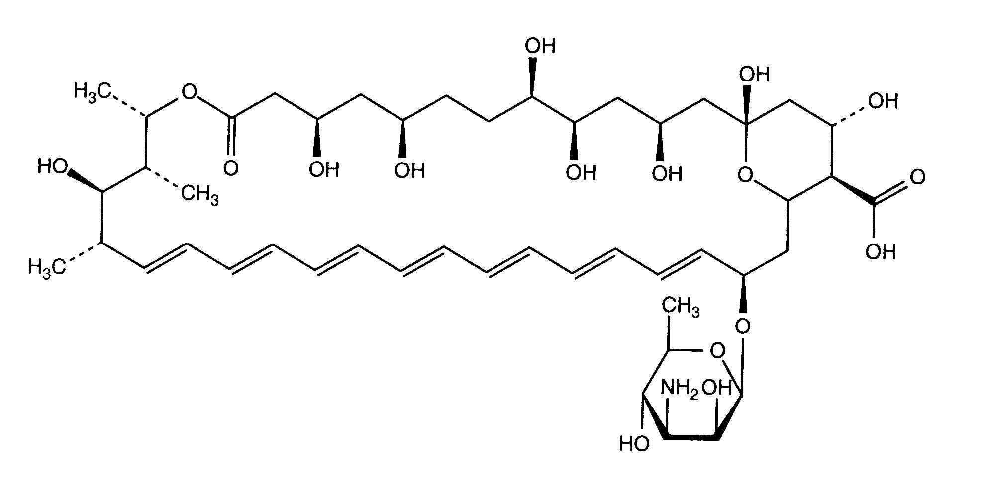
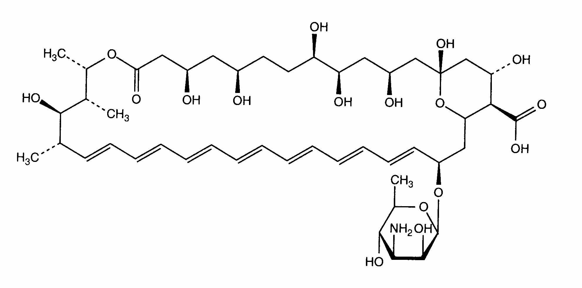
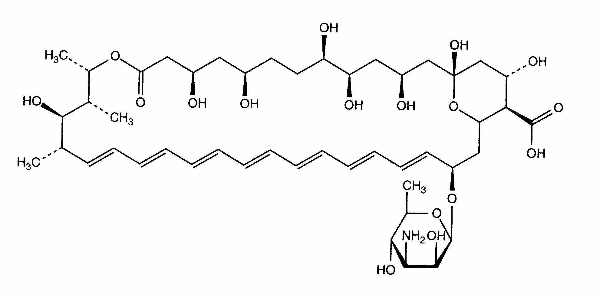
Antimykotikum   Amphotericin B liposomale  
injektion
ögondroppar
Lösningars stabilitet Stabilitet i blandningar Faktorer som påverkar stabiliteten Kompatibilitet Administreringssätt Hänvisningar pdf
Liposom   Molekylstruktur  

Varunamn   Varunamn     

Angivna handelsnamn på läkemedel är enbart vägledande då formulering inklusive hjälpämnen kan variera mellan länder och tillverkare

Ambisome Argentina, Belgien, Brasilien, Chile, Danmark, Egypten, Finland, Förenade Arabemiraten, Förenta Staterna, Frankrike, Grekland, Indien, Irland, Island, Italien, Japan, Kanada, Luxemburg, Nederländerna, Norge, nya Zeeland, Österrike, Peru, Polen, Portugal, Saudi-Arabien, Schweiz, Spanien, Storbritannien, Sverige, Thailand, Turkiet, Tyskland, Ungern
Stabilitet i blandningar   injektion   Stabilitet i blandningar : Amphotericin B liposomale     
Ingen uppgift

  Mentions Légales