Última actualización :
27/04/2026
Antifúngico   Amphotericin B liposomale  
Inyectables
Gotas oculares
Estabilidad en solucion Estabilidad en mezcla Factores que influyen sobre la estabilidad Compatibilidades método de inyección Bibliografía pdf
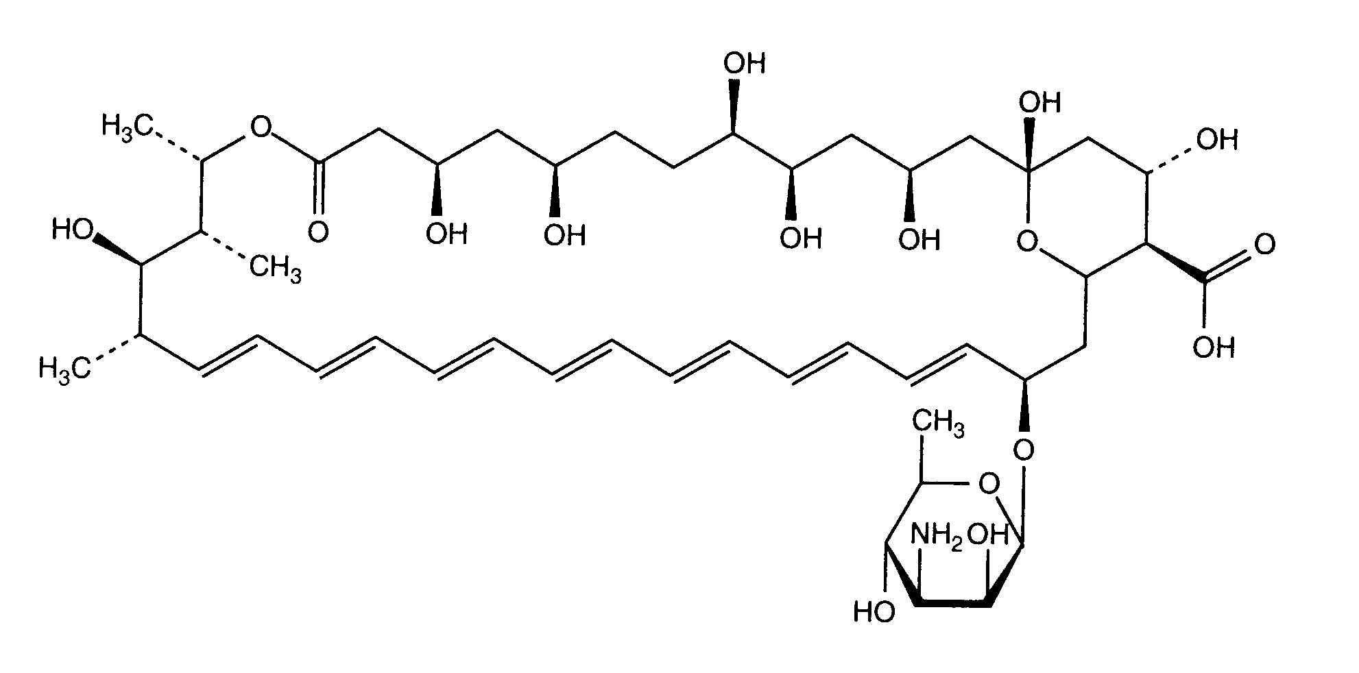
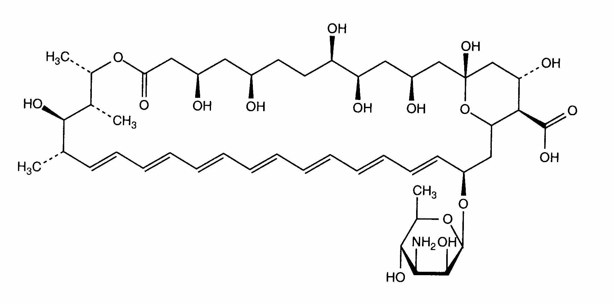
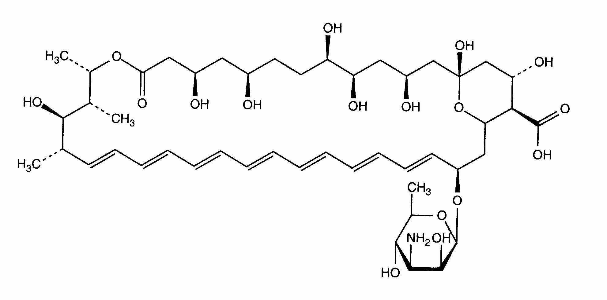
Liposoma   Estructura química  

Nombre comercial   Nombre comercial     

Los nombres comerciales son orientativos y los excipientes de la formulación pueden ser distintos dependiendo del país y del laboratorio fabricante.

Ambisome Alemania, Arabia Saudita, Argentina, Austria, Bélgica, Brasil, Canadá, Chile, Dinamarca, Egipto, Emiratos Árabes Unidos, España, Estados Unidos de América, Finlandia, Francia, Gran Bretaña, Grecia, Hungría, India, Irlanda, Islandia, Italia, Japón, Luxemburgo, Marruecos, Noruega, Nueva Zelanda, Países Bajos, Polonia, Portugal, Suecia, Suiza, Tailandia, Turquía
Estabilidad en mezcla   Inyectables   Estabilidad en mezcla : Amphotericin B liposomale     
Ausencia de datos

  Mentions Légales