Dernière mise à jour :
27/04/2026
Antifongique   Amphotericin B liposomale  
injectable
Collyre
Stabilité des solutions Stabilité en mélange Facteur influençant la stabilité Compatibilités Voie d’administration Bibliographie pdf
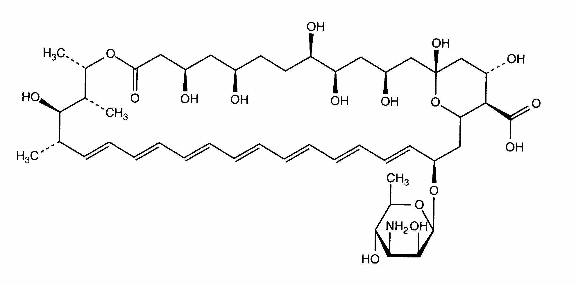
Liposome   Structure chimique  

Noms commerciaux   Noms commerciaux     

Les noms commerciaux sont donnés à titre indicatif et la composition en excipients peut être différente selon les pays et selon les laboratoires

Ambisome Allemagne, Arabie Saoudite, Argentine, Autriche, Belgique, Brésil, Canada, Chili, Danemark, Egypte, Emirats Arabes Unis , Espagne, Etats Unis d’Amérique, Finlande, France, Grande Bretagne, Grèce, Hongrie, Inde, Irlande, Islande, Italie, Japon, Luxembourg, Norvège, Nouvelle Zélande, Pays bas, Pérou, Pologne, Portugal, Suède, Suisse, Thaïlande, Turquie
Stabilité en mélange   injectable   Stabilité en mélange : Amphotericin B liposomale     
Aucune donnée

  Mentions Légales