Seneste opdatering :
27/04/2026
Antisvampe   Amphotericin B liposomale  
Injektion
Øjendråber
Stabilitet i (vandige) opløsninger Stabilitet i blandinger Faktorer der påvirker stabiliteten Kompatibilitet Administrationsvej Bibliografi pdf
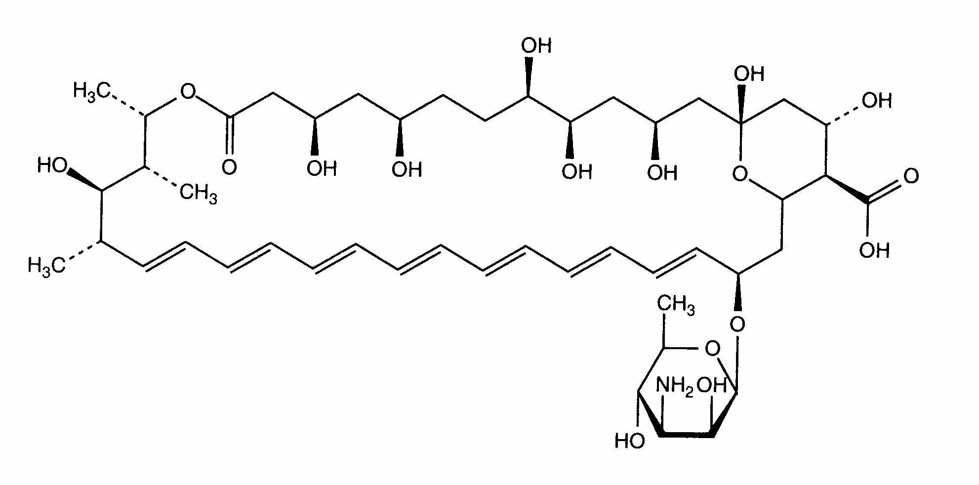
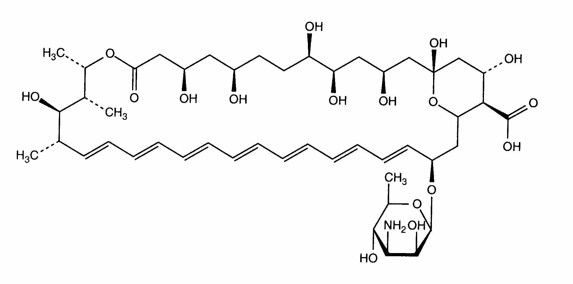
Liposom   Kemisk struktur  

Handelsnavn   Handelsnavn     

Handel navne er vejledende og hjælpestoffer sammensætning kan være forskellig afhængigt af landet og laboratorier

Ambisome Argentina, Belgien, Brasilien, Canada, Chile, Danmark, Finland, Forenede Arabiske Emirater, Frankrig, Grækenland, Holland, Indien, Irland, Island, Italien, Japan, Luxemborg, Marokko, New Zealand, Norge, Polen, Portugal, Saudi-Arabien, Schweiz, Spanien, Storbritanien, Sverige, Thailand, Tyrkiet, Tyskland, Ungarn, USA, Ægypten, Østrig
Stabilitet i blandinger   Injektion   Stabilitet i blandinger : Amphotericin B liposomale     
Ingen data

  Mentions Légales