Last update :
27/04/2026
Antifungal   Amphotericin B liposomale  
injection
Eye-drops
Stability in solutions Stability of mixtures Factors which affect stability Compatibility Route of administration References pdf
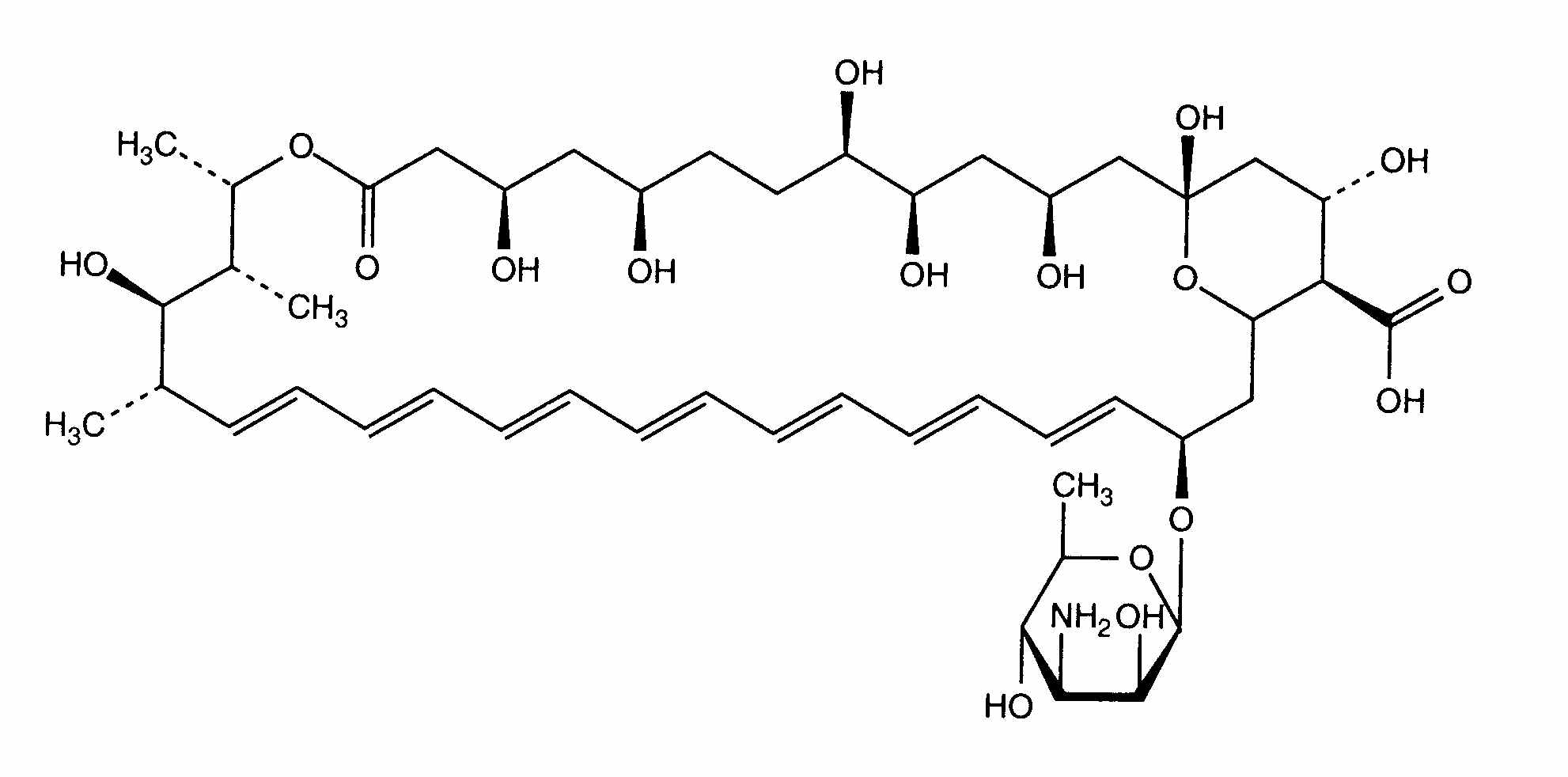
Liposome   Chemical structure  

Tradename   Tradename     

Trade names are indicative and excipients composition can be different depending on the country and manufacturers

Ambisome Argentina, Austria, Belgium, Brazil, Canada, Chile, Denmark, Egypt, Finland, France, Germany, Great Britain, Greece, Hungary, Iceland, India, Ireland, Italy, Japan, Luxembourg, Netherlands, New Zealand, Norway, Peru, Poland, Portugal, Saudi Arabia, Spain, Sweden, Switzerland, Thailand, Turkey, United Arab Emirates, United States of America
Stability of mixtures   injection   Stability of mixtures : Amphotericin B liposomale     
No data

  Mentions Légales