Laatste update :
27/04/2026
Antimycoticum   Amphotericin B liposomale  
injecteerbaar geneesmiddel
Oogwater
Stabiliteit in oplossing Stabiliteit in mengsels Factoren die de stabiliteit beïnvloeden Verenigbaarheden Toedieningswijze Literatuur pdf
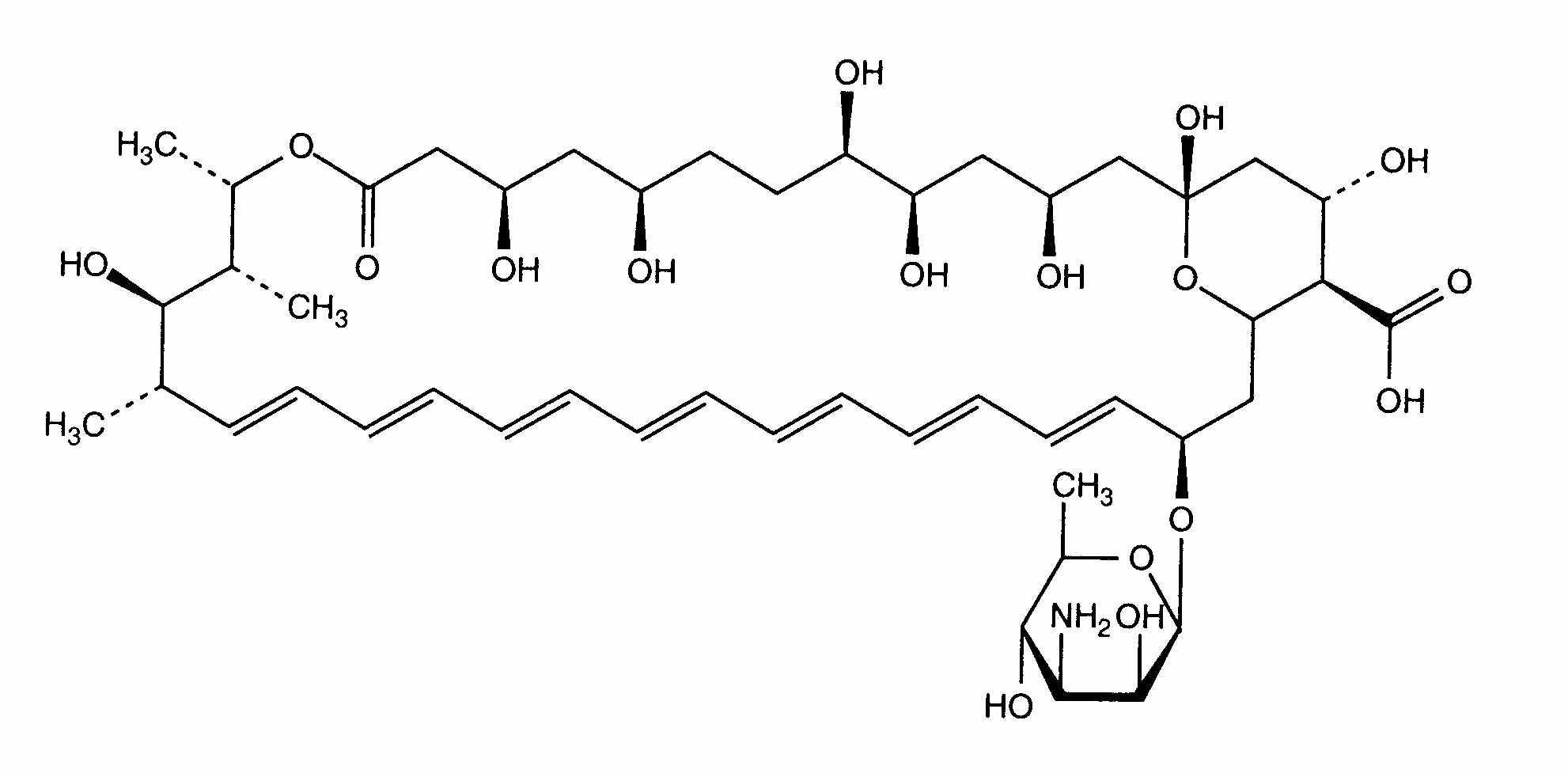
Liposomen   Molecuulstructuur  

Merknamen in verschillende landen   Merknamen in verschillende landen     

Handelsnamen zijn slechts een indicatie; de samenstelling van hulpstoffen kan per land variëren afhankelijk van de fabrikant

Ambisome Argentinië, België, Brazilië, Canada, Chili, Denemarken, Duitsland, Egypte, Finland, Frankrijk, Griekenland, Groot Britannië, Hongarije, Ierland, IJsland, Indië, Italië, Japan, Luxemburg, Nederland, nieuw Zeeland, Noorwegen, Oostenrijk, Peru, Polen, Portugal, Saudi-Arabië, Spanje, Thailand, Turkije, USA, Verenigde Arabische Emiraten, Zweden, Zwitserland
Stabiliteit in mengsels   injecteerbaar geneesmiddel   Stabiliteit in mengsels : Amphotericin B liposomale     
geen gegevens

  Mentions Légales