最新更新 :
27/04/2026
抗真菌药   Amphotericin B liposomale  
注射液
眼药水
溶液稳定性 混合物稳定性 影响稳定性的因素 兼容性 用药途径 引用文献 PDF
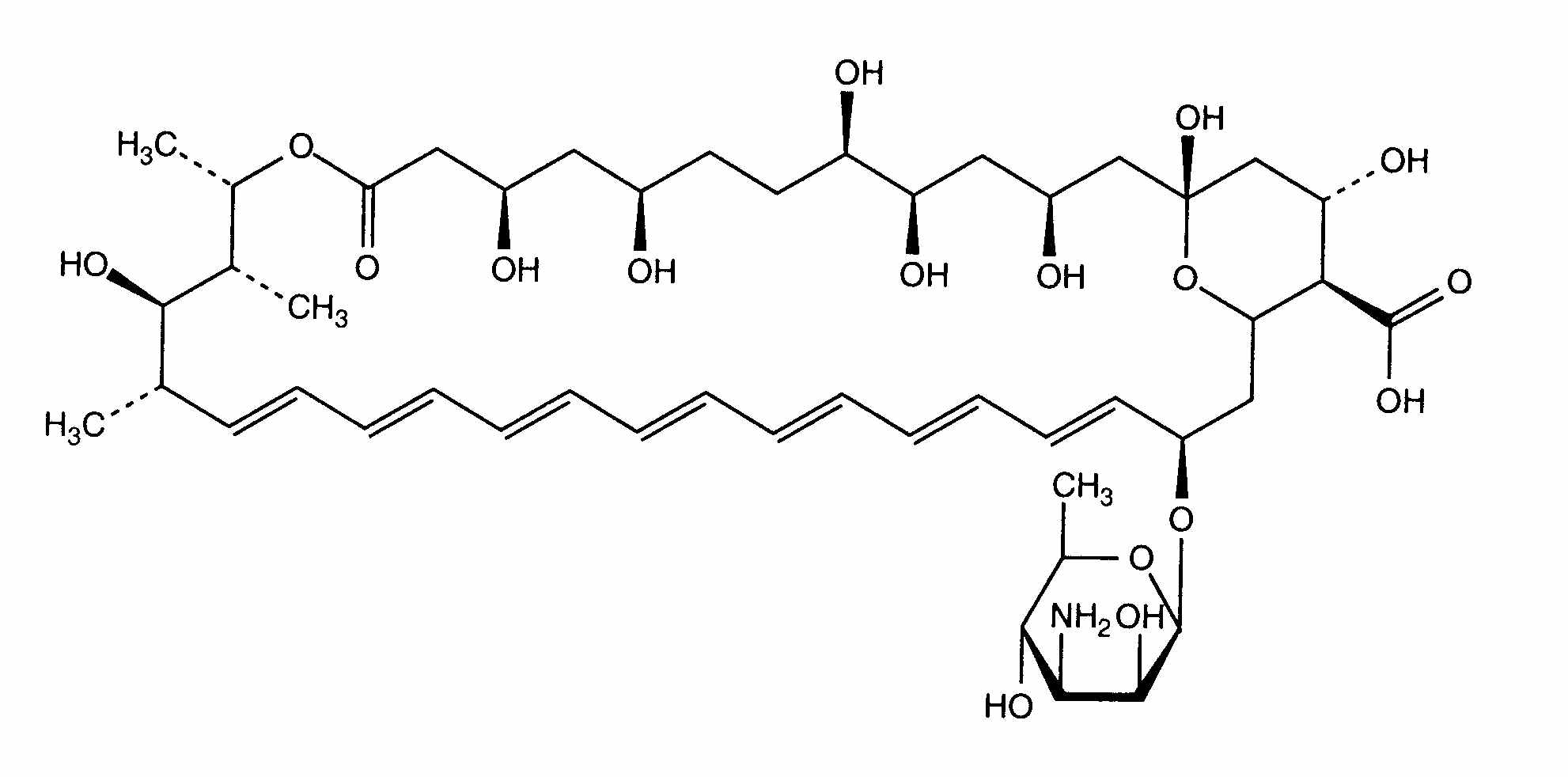
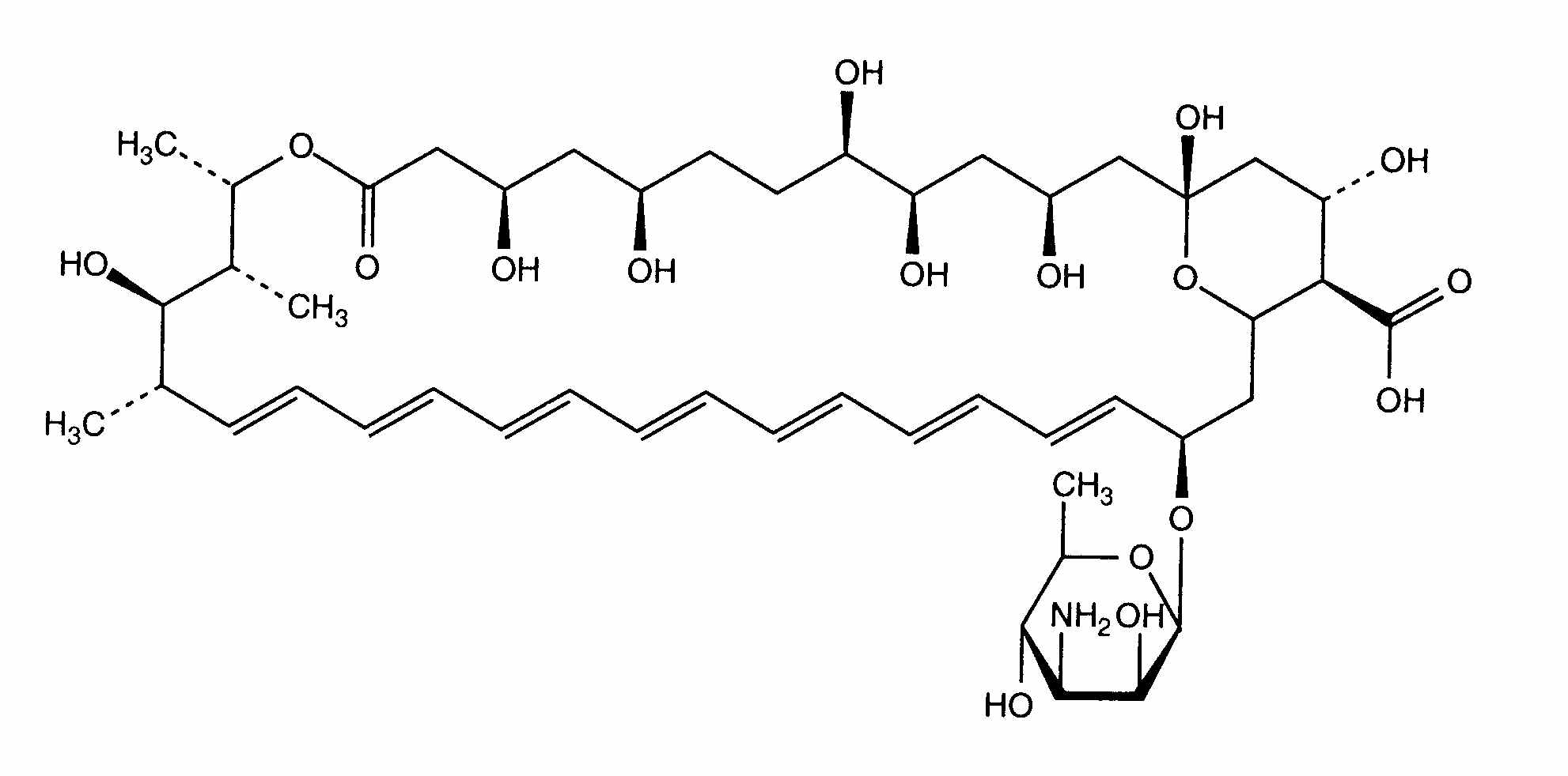
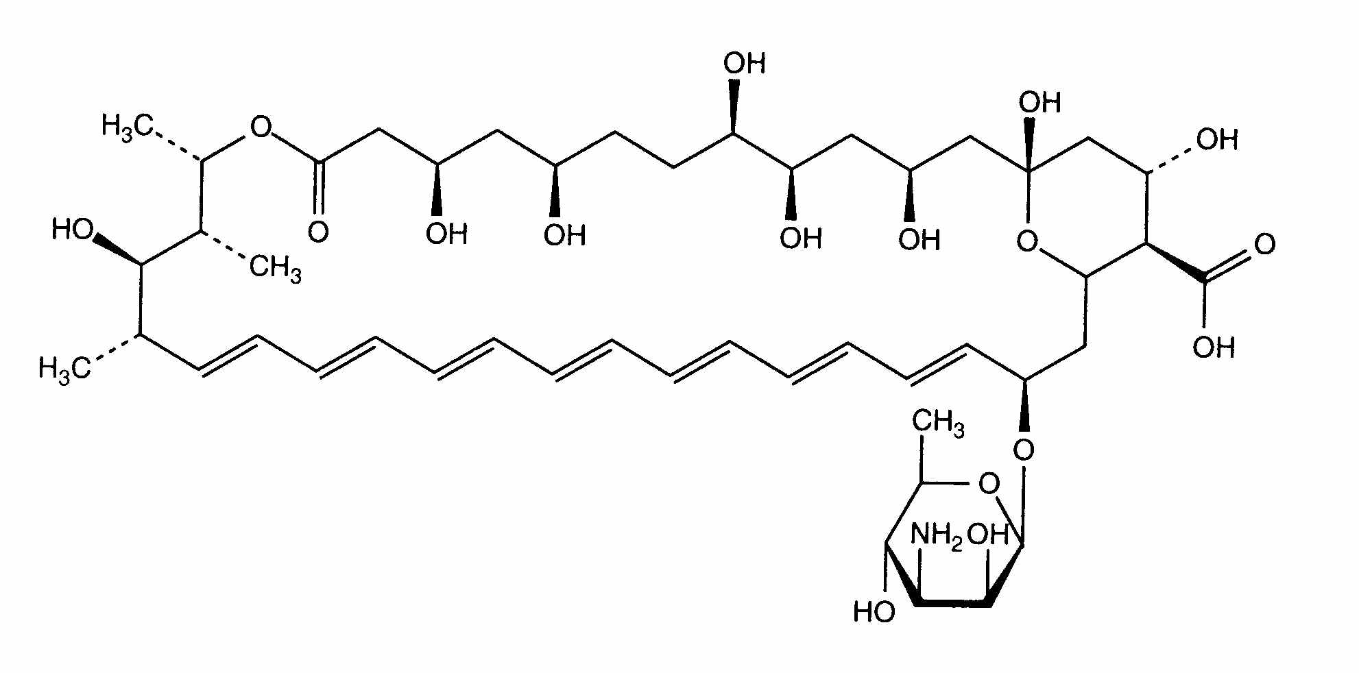
脂質體   化学式  

商品名   商品名     

商品名仅供参考, 药品所用的辅料可能依国家或厂商不同有所不同。

Ambisome 丹麦, 冰岛, 加拿大, 匈牙利, 卢森堡, 印度, 土耳其, 埃及, 奥地利, 巴西, 希腊, 德国, 意大利, 挪威, 新西蘭, 日本, 智利, 比利时, 沙特阿拉伯, 法国, 波兰, 泰国, 爱尔兰, 瑞典, 瑞士, 秘鲁, 美国, 芬兰, 英国, 荷兰, 葡萄牙, 西班牙, 阿根廷, 阿联酋
混合物稳定性   注射液   混合物稳定性 : Amphotericin B liposomale     
无数据

  Mentions Légales