Ultimele actualizari :
27/04/2026
Antifungic   Amphotericin B liposomale  
Injectabil
colir
Stabilitatea in solutie Stabilitatea in amestec Factorii care influenteaza stabilitatea Compatibilitate Microunde Bibliografie pdf
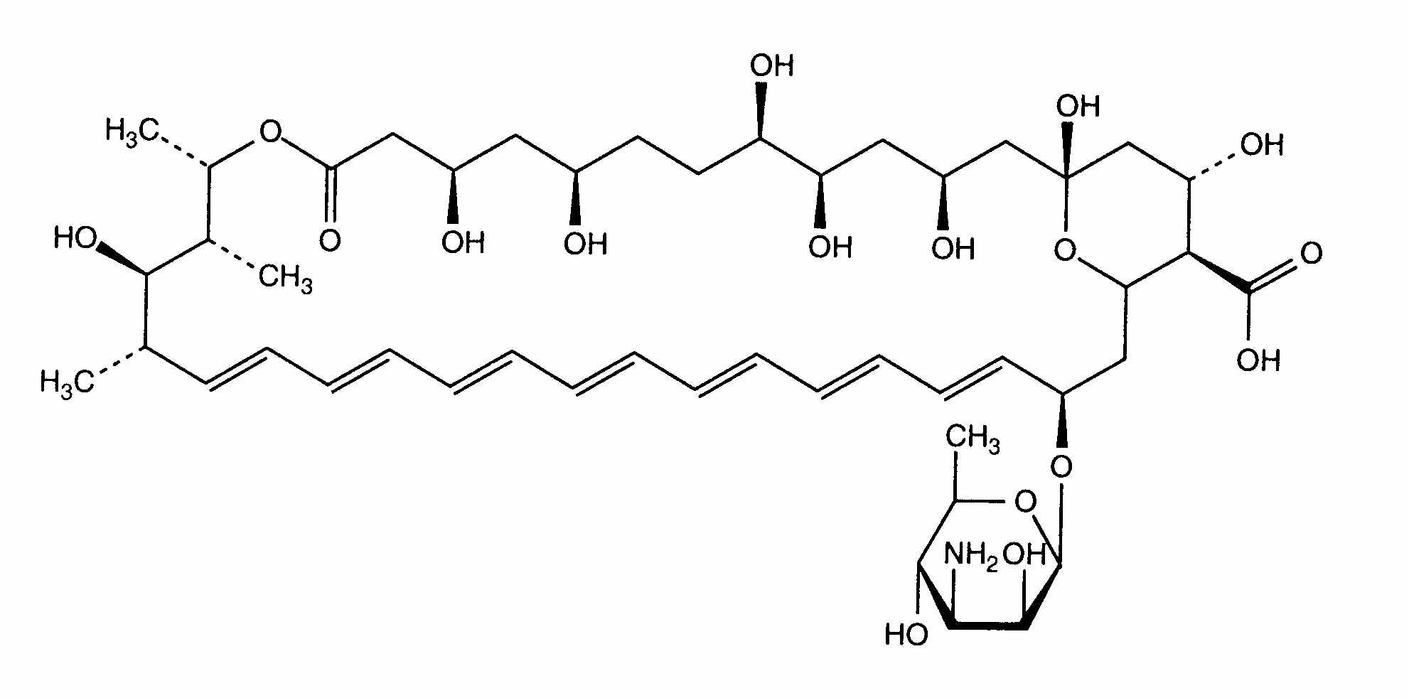
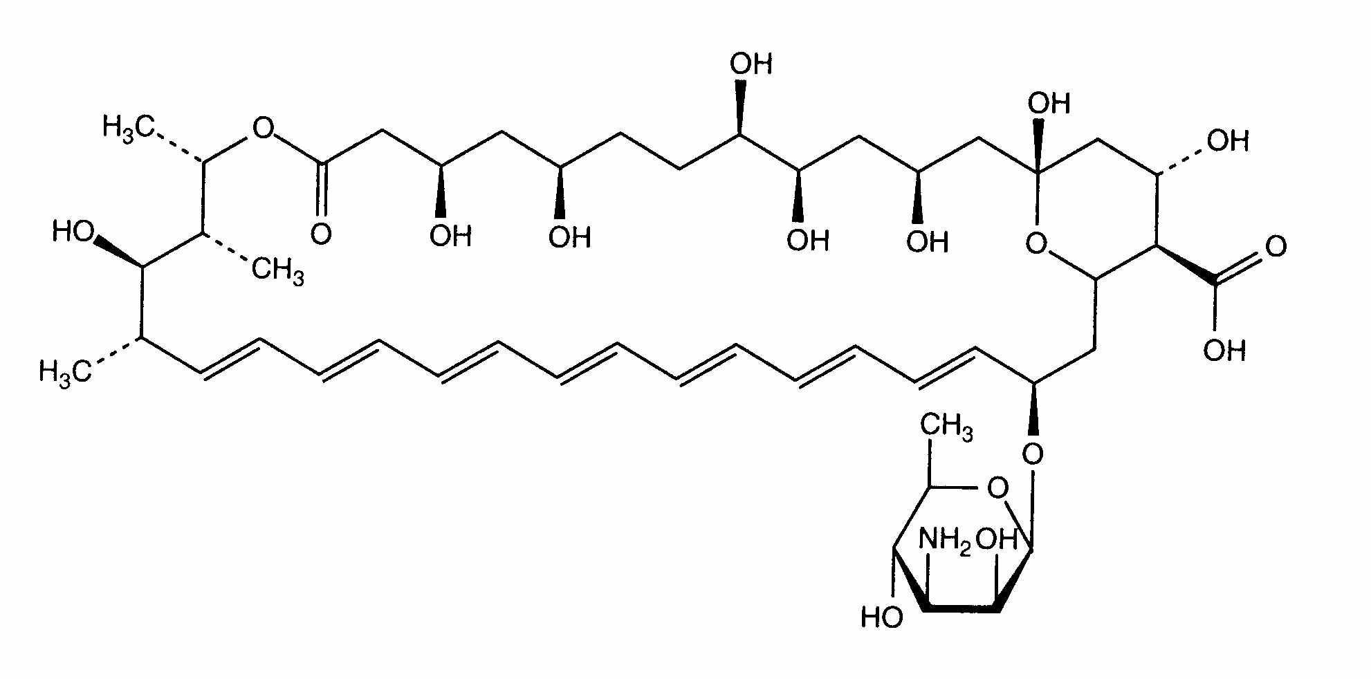
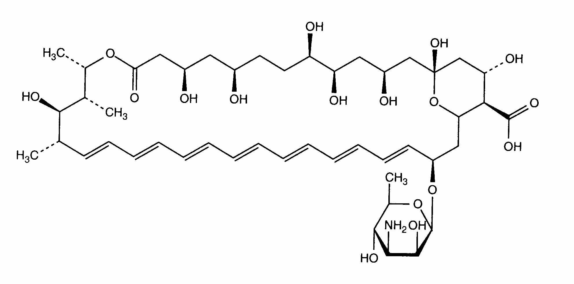
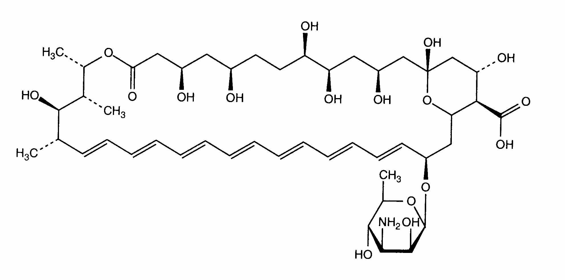
Lipozom   Formula chimica  

Denumirea comerciala   Denumirea comerciala     

Trade names are indicative and excipients composition can be different depending on the country and manufacturers

Ambisome Arabia Saudita, Argentina, Austria, Belgia, Brazilia, Canada, Chilli, Danemarca, Egipt, Elvetia, Emiratele Arabe Unite, Finlanda, Franta, Germania, Grecia, India, Irlanda, Islanda, Italia, Japonia, Luxemburg, Marea Britanie, Norvegia, noua Zeelandă, Olanda, Peru, Polonia, Portugalia, Spania, SUA, Suedia, Tailanda, Turcia, Ungaria
Stabilitatea in amestec   Injectabil   Stabilitatea in amestec : Amphotericin B liposomale     
Absenta de date

  Mentions Légales