Ostatnia aktualizacja :
27/01/2026
Antybiotyk   Amikacin sulfate  
Injekcje
Trwałość roztworów Trwałość w mieszaninie Czynnik wpływający na trwałość Zgodność Sposób podania Bibliografia pdf
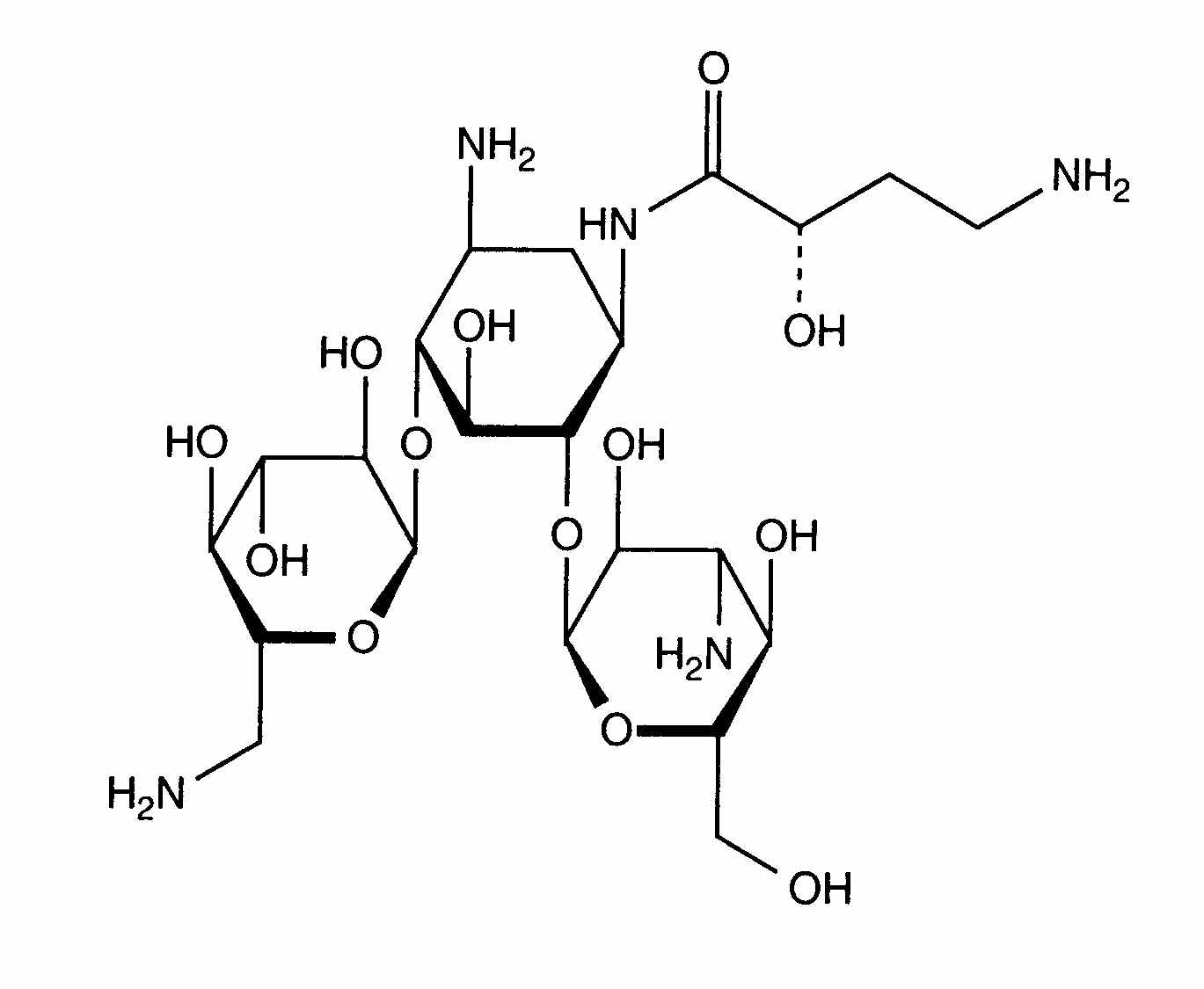
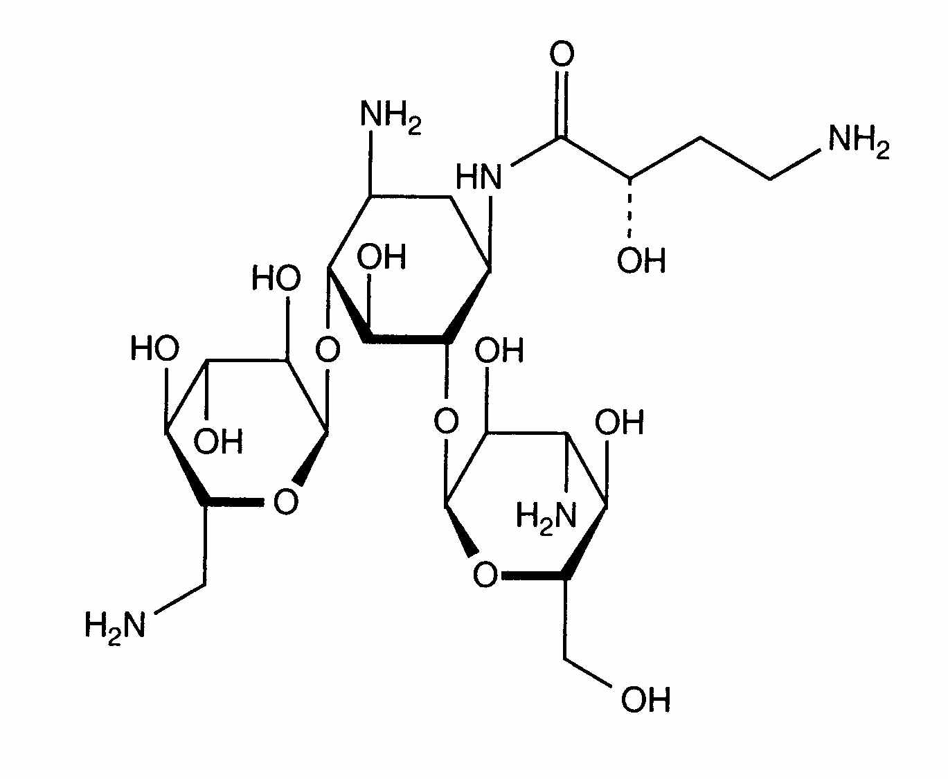
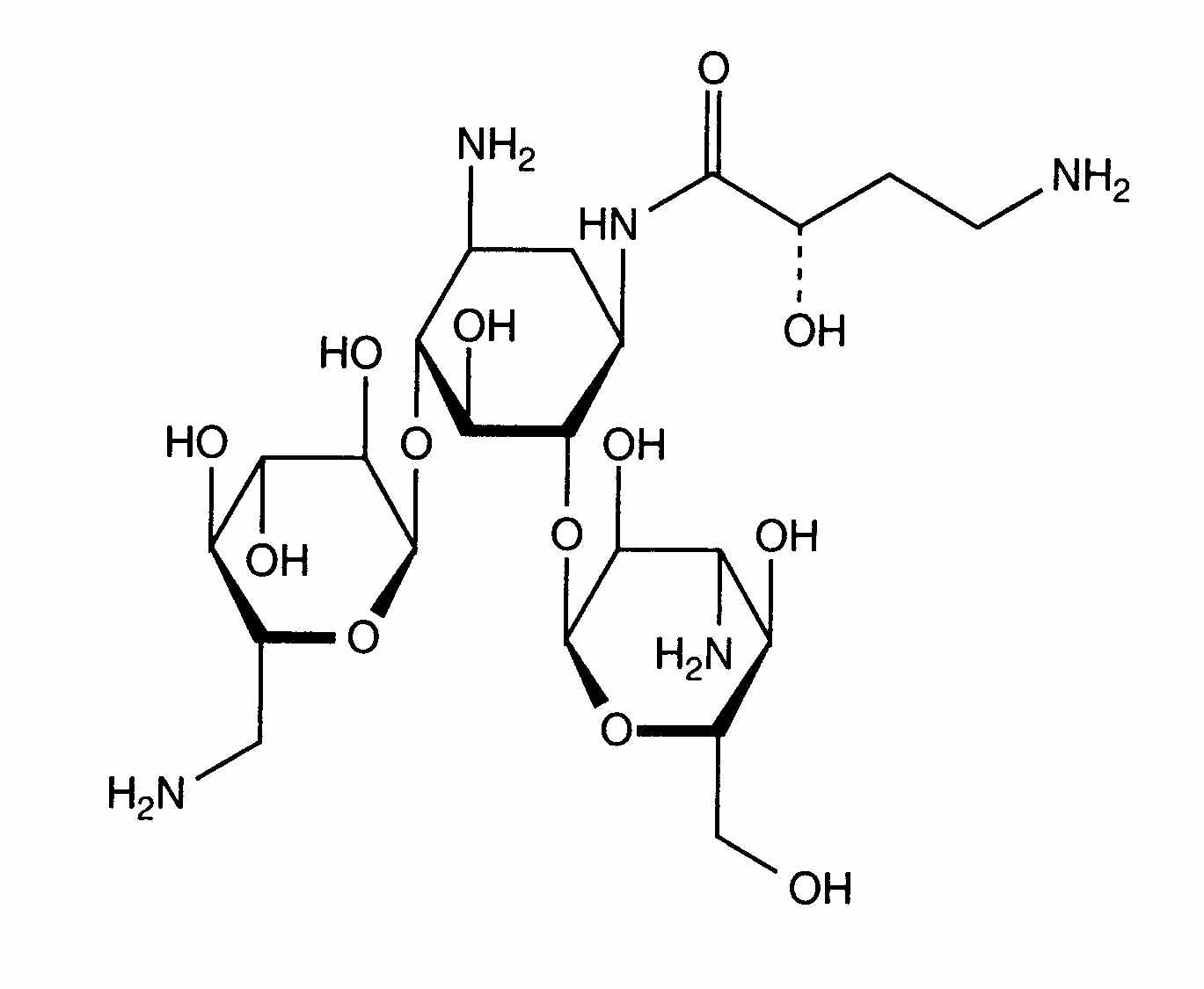
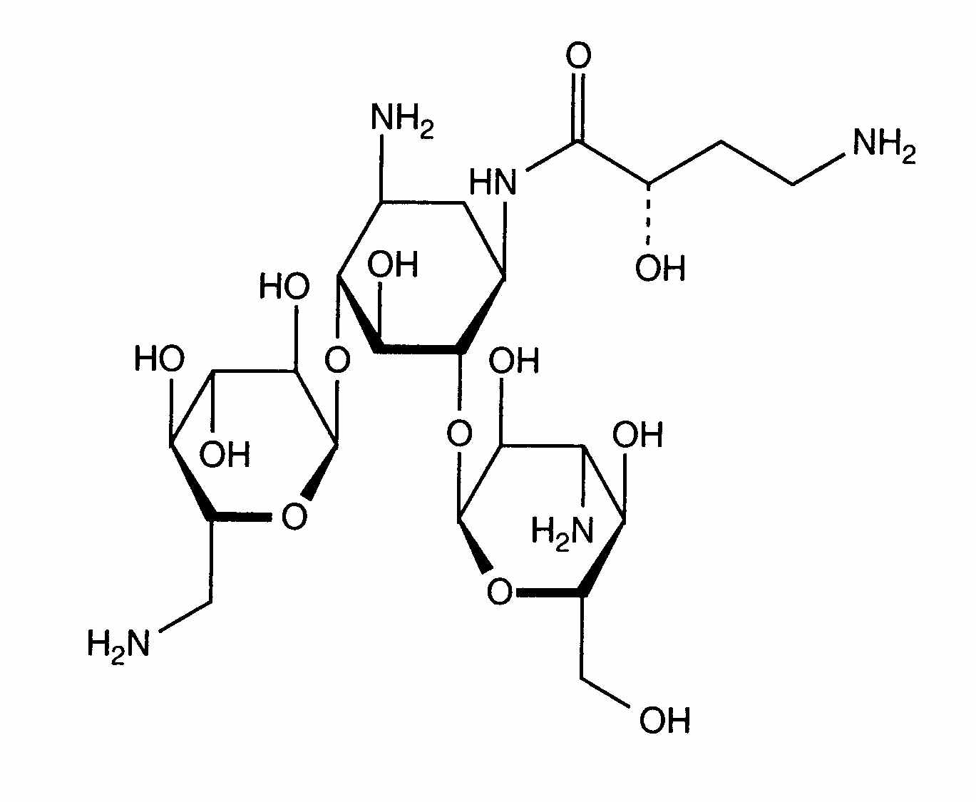
   Struktura chemiczna  

Nazwa handlowa   Nazwa handlowa     

Trade names are indicative and excipients composition can be different depending on the country and manufacturers

Adnet Indie
Agnicin Meksyk
Akamin Ekwador
Akim Ekwador
Amicacil Brazylia
Amicilon Brazylia
Amicin Malezja
Amicip Wenezuela
Amijeksin Turcja
Amikabiot Ekwador, Peru
Amikacin Arabia Saudyjska, Egipt, Iran, Kanada, Malezja, Niemcy, nowa Zelandia, Stany Zjednoczone Ameryki, Wielka Brytania
Amikacina Argentyna, Chile, Ekwador, Hiszpania, KolumbiaKolumbia, Meksyk, Peru, Wenezuela, Włochy
Amikacine Belgia, Francja , Holandia, Maroko
Amikafur Meksyk
Amikagram Peru
Amikalem Meksyk
Amikamed Peru
Amikamek Peru
Amikan Włochy
Amikavax Wenezuela
Amikaver Turcja
Amikayect Meksyk
Amikem Peru
Amiketem Turcja
Amikin Arabia Saudyjska, Australia, Brazylia, Egipt, Ekwador, Irlandia, KolumbiaKolumbia, Meksyk, Peru, Polska, Stany Zjednoczone Ameryki, Szwajcaria, Tunisie, Węgry, Wielka Brytania
Amiklin Francja , Turcja
Amikosit Rumunia, Tunisie, Turcja
Amikram Peru
Amukin Belgia, Holandia, Luksemburg
Apalin Malezja
Baxi K Chile, Meksyk
Behcacin Indie, Wenezuela
Belka Indie
Biclin Austria, Finlandia, Hiszpania, Meksyk, Niemcy, Portugalia, Szwecja
Biodacyna Polska
Biokacin Meksyk
Briklin Grecja
Cadicin Indie
Chemacin Włochy
Cikabit Indie
Cinamica Indie
Cinas Indie
Consumonit Grecja
Domak Indie
Doxocar Argentyna
Elcin Indie
Elmik Indie
Emcin Indie
Emica Indie
Farcyclin Grecja
Flexelite Grecja
Greini Argentyna
Ipacin Iran
Itukacin Peru
Kancin Grecja
Lanomycin Grecja
Lukadin Włochy
Masmika Indie
Mediamik Włochy
Micalpha Grecja
Micigen Meksyk
Migracin Włochy
Mikacin Arabia Saudyjska
Nekacin Włochy
Novamin Brazylia
Orlobin Grecja
Remikin Grecja
Rovericlin Grecja
Uzix Grecja
Trwałość roztworów   Injekcje   Trwałość roztworów : Amikacin sulfate     
Pojemnik Rozpuszczalnik Stężenie Temperatura Przechowywanie Czas trwania stabilności Bibliografia
Szkło Chlorek sodu 0,9% 0,25 & 5 mg/ml -15°C Chronić od światła
30 Dzień
561
Poziom wiarygodności D

Szkło Chlorek sodu 0,9% 0,25 & 5 mg/ml 25°C Nie wyszczególniony
24 Godzina
561
Poziom wiarygodności D

Szkło Chlorek sodu 0,9% 0,25 & 5 mg/ml 4°C Chronić od światła
60 Dzień
561
Poziom wiarygodności D

Szkło Chlorek sodu 0,9% 4 mg/ml 25°C Nie wyszczególniony
48 Godzina
565
Poziom wiarygodności D

Szkło Glukoza 5% 0,25 & 5 mg/ml -15°C Chronić od światła
30 Dzień
561
Poziom wiarygodności D

Szkło Glukoza 5% 0,25 & 5 mg/ml 25°C Nie wyszczególniony
24 Godzina
561
Poziom wiarygodności D

Szkło Glukoza 5% 0,25 & 5 mg/ml 4°C Chronić od światła
60 Dzień
561
Poziom wiarygodności D

Szkło Glukoza 5% 4 mg/ml 25°C Nie wyszczególniony
48 Godzina
565
Poziom wiarygodności D

Szkło Roztwór Ringera z mleczanem sodowym 0,25 & 5 mg/ml -15°C Chronić od światła
30 Dzień
561
Poziom wiarygodności D

Szkło Roztwór Ringera z mleczanem sodowym 0,25 & 5 mg/ml 25°C Nie wyszczególniony
24 Godzina
561
Poziom wiarygodności D

Szkło Roztwór Ringera z mleczanem sodowym 0,25 & 5 mg/ml 4°C Chronić od światła
60 Dzień
561
Poziom wiarygodności D

Szkło Chlorek sodu 0,45% 0,25 & 5 mg/ml -15°C Chronić od światła
30 Dzień
561
Poziom wiarygodności D

Szkło Chlorek sodu 0,45% 0,25 & 5 mg/ml 25°C Nie wyszczególniony
24 Godzina
561
Poziom wiarygodności D

Szkło Chlorek sodu 0,45% 0,25 & 5 mg/ml 4°C Chronić od światła
60 Dzień
561
Poziom wiarygodności D

Polichlorek winylu Chlorek sodu 0,9% 5 mg/ml 25°C światło
48 Godzina
434

Polichlorek winylu Chlorek sodu 0,9% 5 mg/ml 4°C Chronić od światła
8 Godzina
434

Polichlorek winylu Glukoza 5% 20 mg/ml -20°C Chronić od światła
30 Dzień
575
Analiza biologiczna

Polichlorek winylu Glukoza 5% 5 mg/ml 25°C światło
48 Godzina
434

Polichlorek winylu Glukoza 5% 5 mg/ml 4°C Chronić od światła
48 Godzina
434

Etylen/octan winylu Chlorek sodu 0,9% 0,25 & 5 mg/ml 23°C Chronić od światła
7 Dzień
1816
Poziom wiarygodności A+

Etylen/octan winylu Chlorek sodu 0,9% 0,25 & 5 mg/ml 4°C Chronić od światła
30 Dzień
1816
Poziom wiarygodności A+

Strzykawka Chlorek sodu 0,9% 190 mg/ml 22°C-23°C światło
48 Godzina
639
Poziom wiarygodności D

Elastomer poliizoprenowy Glukoza 5% 0,25 & 20 mg/ml 25°C Nie wyszczególniony
24 Godzina
604
Dane stabilności producenta


  Mentions Légales