Τελευταία ενημέρωση :
18/03/2026
Αντιβιοτικό   Amikacin sulfate  
Ενέσιμο
Σταθερότητα διαλυμάτων Σταθερότητα σε μίγματα Παράγοντας που επηρεάζει τη σταθερότητα Συμβατότητες Τρόπος χορήγησης Βιβλιογραφία pdf
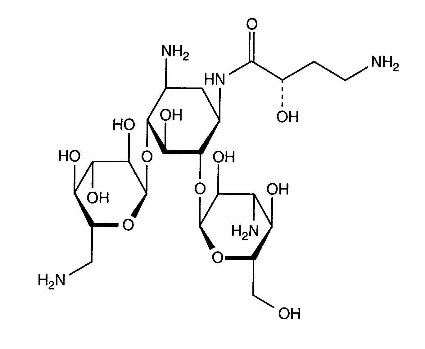
   χημική δομή  

Εμπορική ονομασία   Εμπορική ονομασία     

Οι εμπορικές ονομασίες είναι ενδεικτικές και η σύνθεση των εκδόχων μπορεί να διαφέρει ανάλογα με τη χώρα και τα εργαστήρια

Adnet Ινδία
Agnicin Μεξικό
Akamin Εκουαδόρ
Akim Εκουαδόρ
Amicacil Βραζιλία
Amicilon Βραζιλία
Amicin Μαλαισία
Amicip Βενεζουέλα
Amijeksin Τουρκία
Amikabiot Εκουαδόρ, Περού
Amikacin Αίγυπτος, Γερμανία, Η.Π.Α., Ιράν, Καναδάς, Μαλαισία, Μεγάλη Βρετανία, νέα Ζηλανδία, Σαουδική Αραβία
Amikacina Αργεντινή, Βενεζουέλα, Εκουαδόρ, Ισπανία, Ιταλία, Κολομβία, Μεξικό, Περού, Χιλή
Amikacine Βέλγιο, Γαλλία, Μαρόκο, Ολλανδία
Amikafur Μεξικό
Amikagram Περού
Amikalem Μεξικό
Amikamed Περού
Amikamek Περού
Amikan Ιταλία
Amikavax Βενεζουέλα
Amikaver Τουρκία
Amikayect Μεξικό
Amikem Περού
Amiketem Τουρκία
Amikin Αίγυπτος, Αυστραλία, Βραζιλία, Εκουαδόρ, Ελβετία, Η.Π.Α., Ιρλανδία, Κολομβία, Μεγάλη Βρετανία, Μεξικό, Ουγγαρία, Περού, Πολωνία, Σαουδική Αραβία, Τυνησία
Amiklin Γαλλία, Τουρκία
Amikosit Ρουμανία, Τουρκία, Τυνησία
Amikram Περού
Amukin Βέλγιο, Λουξεμβούργο, Ολλανδία
Apalin Μαλαισία
Baxi K Μεξικό, Χιλή
Behcacin Βενεζουέλα, Ινδία
Belka Ινδία
Biclin Αυστρία, Γερμανία, Ισπανία, Μεξικό, Πορτογαλία, Σουηδία, Φινλανδία
Biodacyna Πολωνία
Biokacin Μεξικό
Briklin Ελλάδα
Cadicin Ινδία
Chemacin Ιταλία
Cikabit Ινδία
Cinamica Ινδία
Cinas Ινδία
Consumonit Ελλάδα
Domak Ινδία
Doxocar Αργεντινή
Elcin Ινδία
Elmik Ινδία
Emcin Ινδία
Emica Ινδία
Farcyclin Ελλάδα
Flexelite Ελλάδα
Greini Αργεντινή
Ipacin Ιράν
Itukacin Περού
Kancin Ελλάδα
Lanomycin Ελλάδα
Lukadin Ιταλία
Masmika Ινδία
Mediamik Ιταλία
Micalpha Ελλάδα
Micigen Μεξικό
Migracin Ιταλία
Mikacin Σαουδική Αραβία
Nekacin Ιταλία
Novamin Βραζιλία
Orlobin Ελλάδα
Remikin Ελλάδα
Rovericlin Ελλάδα
Uzix Ελλάδα
Σταθερότητα διαλυμάτων   Ενέσιμο   Σταθερότητα διαλυμάτων : Amikacin sulfate     
Υποδοχέας Διαλυτικό Συγκέντρωση Θερμοκρασία Αποθήκευση Διάρκεια σταθερότητας Βιβλιογραφία
Ύαλος Χλωριούχο νάτριο 0,9% 0,25 & 5 mg/ml -15°C Προστατεύετε από το φως
30 Ημέρα
561
Επίπεδο των αποδεικτικών στοιχείων D

Ύαλος Χλωριούχο νάτριο 0,9% 0,25 & 5 mg/ml 25°C Απροσδιόριστο
24 Ώρα
561
Επίπεδο των αποδεικτικών στοιχείων D

Ύαλος Χλωριούχο νάτριο 0,9% 0,25 & 5 mg/ml 4°C Προστατεύετε από το φως
60 Ημέρα
561
Επίπεδο των αποδεικτικών στοιχείων D

Ύαλος Χλωριούχο νάτριο 0,9% 4 mg/ml 25°C Απροσδιόριστο
48 Ώρα
565
Επίπεδο των αποδεικτικών στοιχείων D

Ύαλος Γλυκόζη 5% 0,25 & 5 mg/ml -15°C Προστατεύετε από το φως
30 Ημέρα
561
Επίπεδο των αποδεικτικών στοιχείων D

Ύαλος Γλυκόζη 5% 0,25 & 5 mg/ml 25°C Απροσδιόριστο
24 Ώρα
561
Επίπεδο των αποδεικτικών στοιχείων D

Ύαλος Γλυκόζη 5% 0,25 & 5 mg/ml 4°C Προστατεύετε από το φως
60 Ημέρα
561
Επίπεδο των αποδεικτικών στοιχείων D

Ύαλος Γλυκόζη 5% 4 mg/ml 25°C Απροσδιόριστο
48 Ώρα
565
Επίπεδο των αποδεικτικών στοιχείων D

Ύαλος Γαλακτικό διάλυμα Ringer 0,25 & 5 mg/ml -15°C Προστατεύετε από το φως
30 Ημέρα
561
Επίπεδο των αποδεικτικών στοιχείων D

Ύαλος Γαλακτικό διάλυμα Ringer 0,25 & 5 mg/ml 25°C Απροσδιόριστο
24 Ώρα
561
Επίπεδο των αποδεικτικών στοιχείων D

Ύαλος Γαλακτικό διάλυμα Ringer 0,25 & 5 mg/ml 4°C Προστατεύετε από το φως
60 Ημέρα
561
Επίπεδο των αποδεικτικών στοιχείων D

Ύαλος Χλωριούχο νάτριο 0,45% 0,25 & 5 mg/ml -15°C Προστατεύετε από το φως
30 Ημέρα
561
Επίπεδο των αποδεικτικών στοιχείων D

Ύαλος Χλωριούχο νάτριο 0,45% 0,25 & 5 mg/ml 25°C Απροσδιόριστο
24 Ώρα
561
Επίπεδο των αποδεικτικών στοιχείων D

Ύαλος Χλωριούχο νάτριο 0,45% 0,25 & 5 mg/ml 4°C Προστατεύετε από το φως
60 Ημέρα
561
Επίπεδο των αποδεικτικών στοιχείων D

Πολυβινυλοχλωρίδιο Χλωριούχο νάτριο 0,9% 5 mg/ml 25°C Φως
48 Ώρα
434

Πολυβινυλοχλωρίδιο Χλωριούχο νάτριο 0,9% 5 mg/ml 4°C Προστατεύετε από το φως
8 Ώρα
434

Πολυβινυλοχλωρίδιο Γλυκόζη 5% 20 mg/ml -20°C Προστατεύετε από το φως
30 Ημέρα
575
Βιολογική ανάλυση

Πολυβινυλοχλωρίδιο Γλυκόζη 5% 5 mg/ml 25°C Φως
48 Ώρα
434

Πολυβινυλοχλωρίδιο Γλυκόζη 5% 5 mg/ml 4°C Προστατεύετε από το φως
48 Ώρα
434

Συμπολυμερές του αιθυλενίου και του οξικ Χλωριούχο νάτριο 0,9% 0,25 & 5 mg/ml 23°C Προστατεύετε από το φως
7 Ημέρα
1816
Επίπεδο των αποδεικτικών στοιχείων A+

Συμπολυμερές του αιθυλενίου και του οξικ Χλωριούχο νάτριο 0,9% 0,25 & 5 mg/ml 4°C Προστατεύετε από το φως
30 Ημέρα
1816
Επίπεδο των αποδεικτικών στοιχείων A+

σύριγγα πολυπροπυλένιο Χλωριούχο νάτριο 0,9% 190 mg/ml 22°C-23°C Φως
48 Ώρα
639
Επίπεδο των αποδεικτικών στοιχείων D

Ελαστομερές πολυισοπρένιο Γλυκόζη 5% 0,25 & 20 mg/ml 25°C Απροσδιόριστο
24 Ώρα
604
Δεδομένα σταθερότητας του κατασκευαστή/ών


  Mentions Légales