Siste oppdatering :
27/01/2026
Antibiotika   Amikacin sulfate  
Injeksjon
Oppløsningsstabilitet Stabilitet i blandinger Faktorer som påvirker stabiliteten Kompatibilitet Administrasjonsmåte Referanser pdf
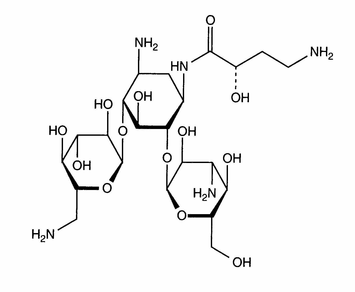
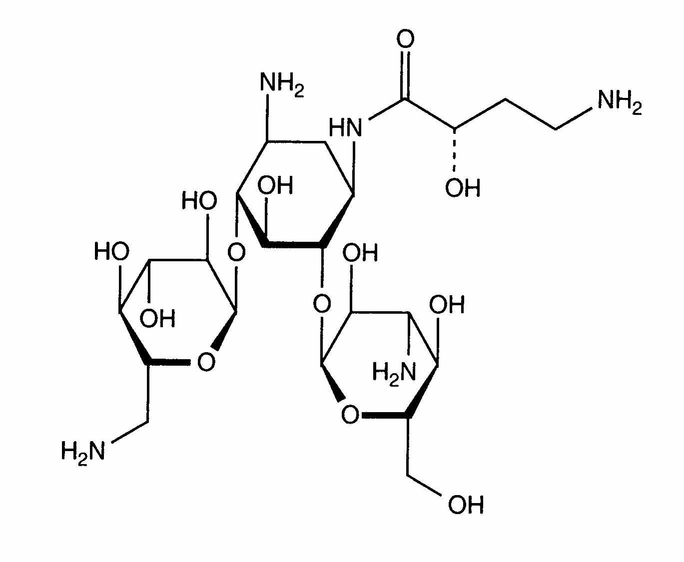
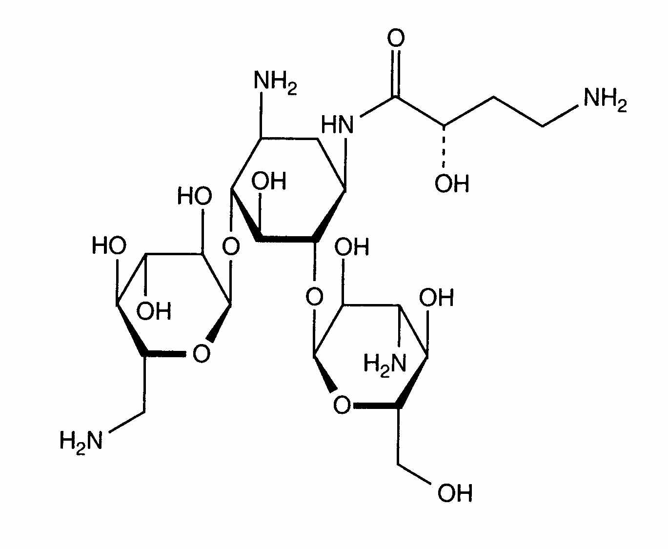
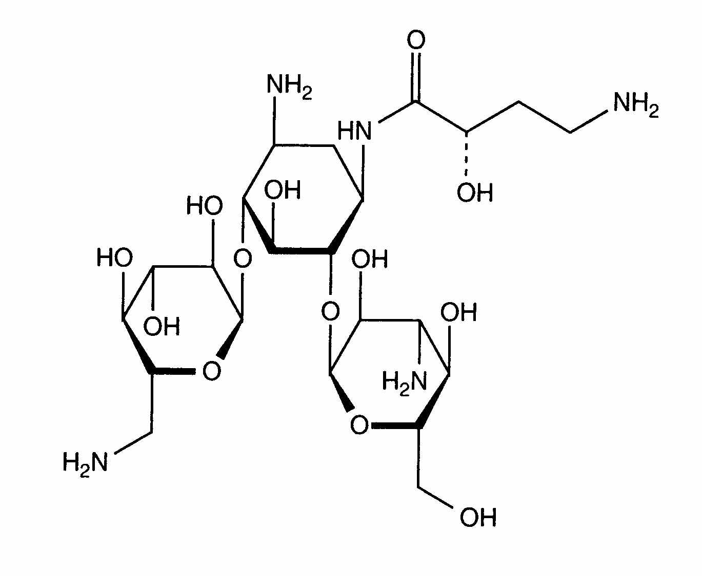
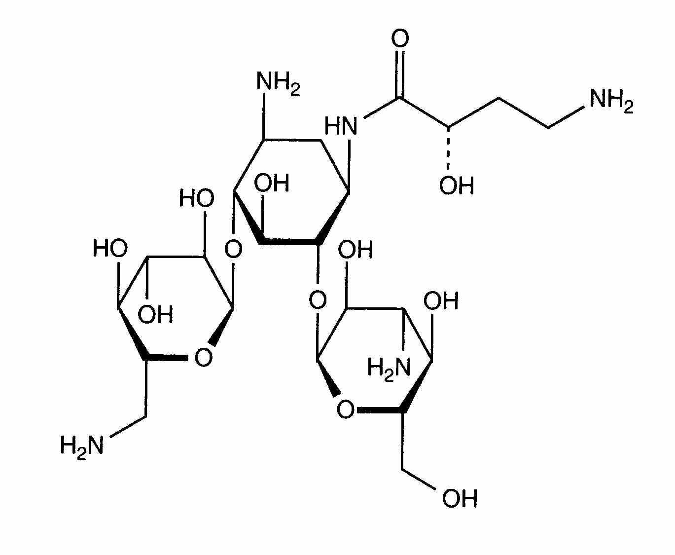
   Kjemisk struktur  

Handelsnavn   Handelsnavn     

Handelsnavn er veiledende og sammensetning av hjelpestoffer kan være forskjellig avhengig av land og produsent

Adnet India
Agnicin Mexico
Akamin Ecuador
Akim Ecuador
Amicacil Brasil
Amicilon Brasil
Amicin Malaysia
Amicip Venezuela
Amijeksin Tyrkia
Amikabiot Ecuador, Peru
Amikacin Canada, Egypt, Iran, Malaysia, New Zealand, Saudi-Arabia, Storbritannia, Tyskland, USA
Amikacina Argentina, Chile, Colombia, Ecuador, Italia, Mexico, Peru, Spania, Venezuela
Amikacine Belgia, Frankrike, Marokko, Nederland
Amikafur Mexico
Amikagram Peru
Amikalem Mexico
Amikamed Peru
Amikamek Peru
Amikan Italia
Amikavax Venezuela
Amikaver Tyrkia
Amikayect Mexico
Amikem Peru
Amiketem Tyrkia
Amikin Australia, Brasil, Colombia, Ecuador, Egypt, Irland, Mexico, Peru, Polen, Saudi-Arabia, Storbritannia, Sveits, Tunisia, Ungarn, USA
Amiklin Frankrike, Tyrkia
Amikosit Romania, Tunisia, Tyrkia
Amikram Peru
Amukin Belgia, Luxembourg, Nederland
Apalin Malaysia
Baxi K Chile, Mexico
Behcacin India, Venezuela
Belka India
Biclin Finland, Mexico, Portugal, Spania, Sverige, Tyskland, Østerrike
Biodacyna Polen
Biokacin Mexico
Briklin Hellas
Cadicin India
Chemacin Italia
Cikabit India
Cinamica India
Cinas India
Consumonit Hellas
Domak India
Doxocar Argentina
Elcin India
Elmik India
Emcin India
Emica India
Farcyclin Hellas
Flexelite Hellas
Greini Argentina
Ipacin Iran
Itukacin Peru
Kancin Hellas
Lanomycin Hellas
Lukadin Italia
Masmika India
Mediamik Italia
Micalpha Hellas
Micigen Mexico
Migracin Italia
Mikacin Saudi-Arabia
Nekacin Italia
Novamin Brasil
Orlobin Hellas
Remikin Hellas
Rovericlin Hellas
Uzix Hellas
Oppløsningsstabilitet   Injeksjon   Oppløsningsstabilitet : Amikacin sulfate     
Beholder Oppløsningsmiddel Konsentrasjon Temperatur Oppbevaring Varighet av stabilitet Referanser
Glass Natriumklorid 0,9 % 0,25 & 5 mg/ml -15°C Beskyttes mot lys
30 Dag
561
Bevisgrad D

Glass Natriumklorid 0,9 % 0,25 & 5 mg/ml 25°C Ikke angitt
24 Tid
561
Bevisgrad D

Glass Natriumklorid 0,9 % 0,25 & 5 mg/ml 4°C Beskyttes mot lys
60 Dag
561
Bevisgrad D

Glass Natriumklorid 0,9 % 4 mg/ml 25°C Ikke angitt
48 Tid
565
Bevisgrad D

Glass Glukose 5 % 0,25 & 5 mg/ml -15°C Beskyttes mot lys
30 Dag
561
Bevisgrad D

Glass Glukose 5 % 0,25 & 5 mg/ml 25°C Ikke angitt
24 Tid
561
Bevisgrad D

Glass Glukose 5 % 0,25 & 5 mg/ml 4°C Beskyttes mot lys
60 Dag
561
Bevisgrad D

Glass Glukose 5 % 4 mg/ml 25°C Ikke angitt
48 Tid
565
Bevisgrad D

Glass Ringers laktatoppløsning 0,25 & 5 mg/ml -15°C Beskyttes mot lys
30 Dag
561
Bevisgrad D

Glass Ringers laktatoppløsning 0,25 & 5 mg/ml 25°C Ikke angitt
24 Tid
561
Bevisgrad D

Glass Ringers laktatoppløsning 0,25 & 5 mg/ml 4°C Beskyttes mot lys
60 Dag
561
Bevisgrad D

Glass Natriumklorid 0,45 % 0,25 & 5 mg/ml -15°C Beskyttes mot lys
30 Dag
561
Bevisgrad D

Glass Natriumklorid 0,45 % 0,25 & 5 mg/ml 25°C Ikke angitt
24 Tid
561
Bevisgrad D

Glass Natriumklorid 0,45 % 0,25 & 5 mg/ml 4°C Beskyttes mot lys
60 Dag
561
Bevisgrad D

Polyvinylklorid Natriumklorid 0,9 % 5 mg/ml 25°C Lys
48 Tid
434

Polyvinylklorid Natriumklorid 0,9 % 5 mg/ml 4°C Beskyttes mot lys
8 Tid
434

Polyvinylklorid Glukose 5 % 20 mg/ml -20°C Beskyttes mot lys
30 Dag
575
Biologisk metode

Polyvinylklorid Glukose 5 % 5 mg/ml 25°C Lys
48 Tid
434

Polyvinylklorid Glukose 5 % 5 mg/ml 4°C Beskyttes mot lys
48 Tid
434

Etylenvinylacetat Natriumklorid 0,9 % 0,25 & 5 mg/ml 23°C Beskyttes mot lys
7 Dag
1816
Bevisgrad A +

Etylenvinylacetat Natriumklorid 0,9 % 0,25 & 5 mg/ml 4°C Beskyttes mot lys
30 Dag
1816
Bevisgrad A +

Sprøyte polypropylen Natriumklorid 0,9 % 190 mg/ml 22°C-23°C Lys
48 Tid
639
Bevisgrad D

Polyisopren elastomer Glukose 5 % 0,25 & 20 mg/ml 25°C Ikke angitt
24 Tid
604
Stabilitetsopplysninger fra produsent


  Mentions Légales