Останнє оновлення :
27/04/2026
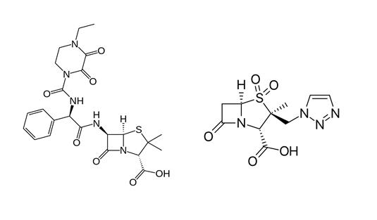
Антибіотик   Piperacillin sodium / tazobactam  
ін'єкція
Стійкість в розчинах Стійкість сумішей Фактори, що впливають на стабільність Сумісність Шлях введення Список літератури pdf
   Хімічна структура  

Торгова назва   Торгова назва     

Торгові назви є орієнтовними, а склад допоміжних речовин може бути різним залежно від країни та виробника

Bagotaz Аргентина
Betampil Еквадор
Bioval Чилі
Petezam Аргентина
Piperac Німеччина
Piperacillin tazobactam Бельгія, Канада, Німеччина
Piperazam Бразилія
Pipetazo Чилі
Pipitaz Австрія
Pixamol Колумбія
Tazobac Італія, Еквадор, Португалія, Швейцарія
Tazocel Іспанія
Tazocilline Франція
Tazocin Єгипет, Італія, Австралія, Аргентина, Бразилія, Великобританія, Греція, Данія, Колумбія, Люксембург, Мексика, Нідерланди, Нова Зеландія, Норвегія, Об'єднані Арабські Емірати, Південно-Африканська Республіка, Північна Ірландія, Перу, Польща, Туреччина, Угорщина, Фінляндія, Хорватія, Швеція
Tazonam Австрія, Чилі
Tazopip Австралія
Tazpen Колумбія, Мексика
Tazrobida Колумбія
Tigux Чилі
Tratac Чилі
Trital Еквадор
Zosyn Сполучені Штати Америки, Японія
Шлях введення   Шлях введення :Piperacillin sodium / tazobactam     
Маршрут
Внутрішньовенне вливання

  Mentions Légales