Última actualização :
27/04/2026
antibiótico   Piperacillin sodium / tazobactam  
injetável
Estabilidade em soluções simples Estabilidade em misturas Factores que afectam a sua estabilidade Compatibilidade Método de administração Bibliografía pdf
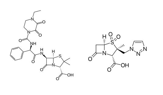
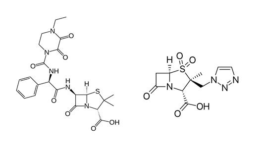
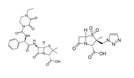
   estrutura química  

Nomes comerciais nos diversos países   Nomes comerciais nos diversos países     

OS NOMES COMERCIAIS SÃO INDICATIVOS E OS EXCIPIENTES DA FORMULAÇÃO PODEM SER DIFERENTES CONFORME O PAÍS E FABRICANTE.

Bagotaz Argentina
Betampil Equator
Bioval Chilli
Petezam Argentina
Piperac Alemanha
Piperacillin tazobactam Alemanha, Bélgica, Canadá
Piperazam Brasil
Pipetazo Chilli
Pipitaz Austria
Pixamol Colômbia
Tazobac Equator, Itália, Portugal, Suicia
Tazocel Espanha
Tazocilline França
Tazocin Africa do sul, Argentina, Australia, Brasil, Colômbia, Croácia, Dinamarca, Egipto, Emirados Árabes Unidos, Finlandia, Gran-bretanha, Grècia, Hungria, Irlanda do norte, Itália, Luxemburgo, México, Noruega, nova Zelândia, Países Baixos, Peru, Polonia, Suècia, Turquia
Tazonam Austria, Chilli
Tazopip Australia
Tazpen Colômbia, México
Tazrobida Colômbia
Tigux Chilli
Tratac Chilli
Trital Equator
Zosyn Estados Unidos de América, Japón
Método de administração   Método de administração :Piperacillin sodium / tazobactam     
Voie
perfusão intravenosa

  Mentions Légales