最新更新 :
27/04/2026
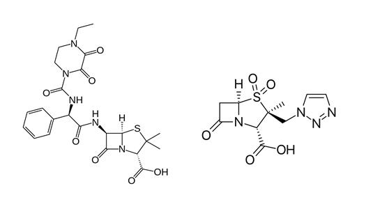
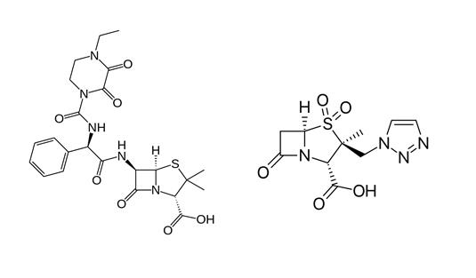
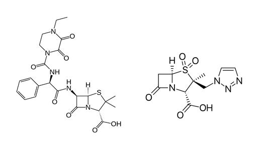
抗生素   Piperacillin sodium / tazobactam  
注射液
溶液稳定性 混合物稳定性 影响稳定性的因素 兼容性 用药途径 引用文献 PDF
   化学式  

商品名   商品名     

商品名仅供参考, 药品所用的辅料可能依国家或厂商不同有所不同。

Bagotaz 阿根廷
Betampil 厄瓜多尔
Bioval 智利
Petezam 阿根廷
Piperac 德国
Piperacillin tazobactam 加拿大, 德国, 比利时
Piperazam 巴西
Pipetazo 智利
Pipitaz 奥地利
Pixamol 哥伦比亚
Tazobac 厄瓜多尔, 意大利, 瑞士, 葡萄牙
Tazocel 西班牙
Tazocilline 法国
Tazocin 丹麦, 克罗地亚, 匈牙利, 北愛爾蘭, 南非, 卢森堡, 哥伦比亚, 土耳其, 埃及, 墨西哥, 巴西, 希腊, 意大利, 挪威, 新西蘭, 波兰, 澳大利亚, 瑞典, 秘鲁, 芬兰, 英国, 荷兰, 阿根廷, 阿联酋
Tazonam 奥地利, 智利
Tazopip 澳大利亚
Tazpen 哥伦比亚, 墨西哥
Tazrobida 哥伦比亚
Tigux 智利
Tratac 智利
Trital 厄瓜多尔
Zosyn 日本, 美国
用药途径   用药途径 :Piperacillin sodium / tazobactam     
路线
静脉输液

  Mentions Légales