Son güncelleme :
27/04/2026
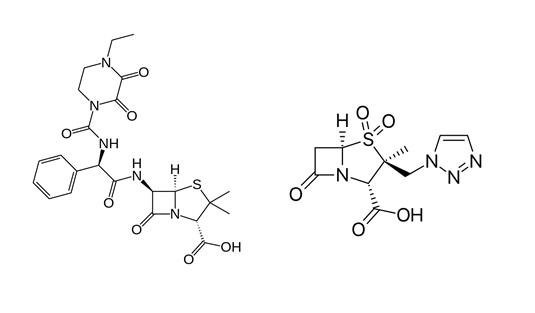
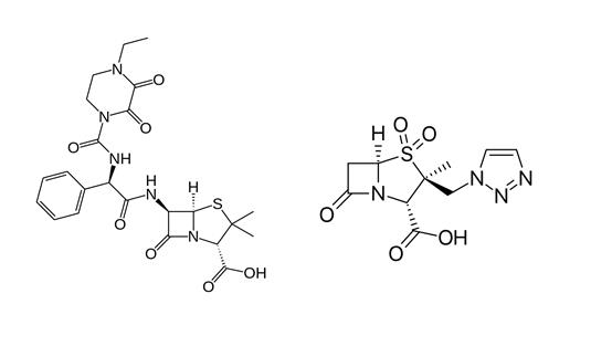
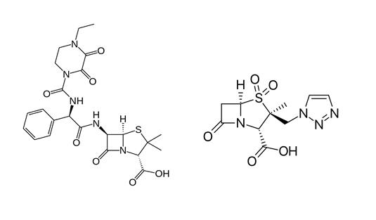
Antibiyotik   Piperacillin sodium / tazobactam  
Enjeksiyon
Çözeltilerin stabilitesi Karışımlardaki stabilitesi Stabiliteyi etkileyen faktörler Uyumluluk Uygulama yöntemi Kaynaklar pdf
   Kimyasal yapı   

Ticari isim   Ticari isim     

Trade names are indicative and excipients composition can be different depending on the country and manufacturers

Bagotaz Arjantin
Betampil Ekvador
Bioval Şili
Petezam Arjantin
Piperac Almanya
Piperacillin tazobactam Almanya, Belçika, Kanada
Piperazam Brezilya
Pipetazo Şili
Pipitaz Avusturya
Pixamol Kolombiya
Tazobac Ekvador, İsviçre, İtalya, Portekiz
Tazocel İspanya
Tazocilline Fransa
Tazocin Arjantin, Avustralya, Birleşik Arap Emirlikleri, Brezilya, Büyük Britanya, Danimarka, Finlandiya, Güney Afrika Cumhuriyeti, Hırvatistan, Hollanda, İsveç, İtalya, Kolombiya, Kuzey irlanda, Lüksemburg, Macaristan, Meksika, Mısır, Norveç, Peru, Polonya, Türkiye, yeni Zelanda, Yunanistan
Tazonam Avusturya, Şili
Tazopip Avustralya
Tazpen Kolombiya, Meksika
Tazrobida Kolombiya
Tigux Şili
Tratac Şili
Trital Ekvador
Zosyn Amerika Birleşik Devletleri, Japonya
Uygulama yöntemi   Uygulama yöntemi :Piperacillin sodium / tazobactam     
Voie
İntravenöz infüzyon

  Mentions Légales