Last update :
27/04/2026
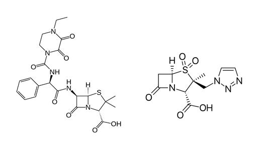
Antibiotic   Piperacillin sodium / tazobactam  
injection
Stability in solutions Stability of mixtures Factors which affect stability Compatibility Route of administration References pdf
   Chemical structure  

Tradename   Tradename     

Trade names are indicative and excipients composition can be different depending on the country and manufacturers

Bagotaz Argentina
Betampil Ecuador
Bioval Chile
Petezam Argentina
Piperac Germany
Piperacillin tazobactam Belgium, Canada, Germany
Piperazam Brazil
Pipetazo Chile
Pipitaz Austria
Pixamol Colombia
Tazobac Ecuador, Italy, Portugal, Switzerland
Tazocel Spain
Tazocilline France
Tazocin Argentina, Australia, Brazil, Colombia, Croatia, Denmark, Egypt, Finland, Great Britain, Greece, Hungary, Italy, Luxembourg, Mexico, Netherlands, New Zealand, North Ireland, Norway, Peru, Poland, Republic of South Africa, Sweden, Turkey, United Arab Emirates
Tazonam Austria, Chile
Tazopip Australia
Tazpen Colombia, Mexico
Tazrobida Colombia
Tigux Chile
Tratac Chile
Trital Ecuador
Zosyn Japan, United States of America
Route of administration   Route of administration :Piperacillin sodium / tazobactam     
Route
Intravenous infusion

  Mentions Légales