Seneste opdatering :
27/04/2026
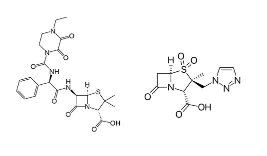
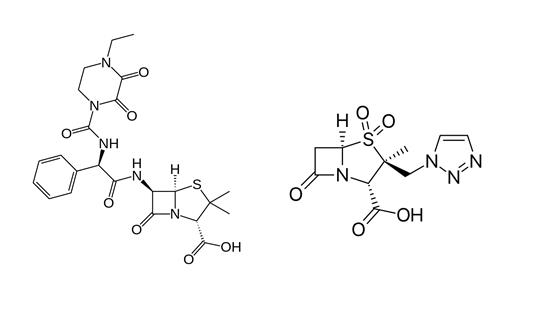
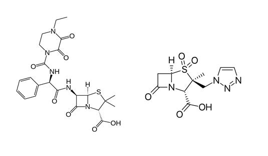
Antibiotisk   Piperacillin sodium / tazobactam  
Injektion
Stabilitet i (vandige) opløsninger Stabilitet i blandinger Faktorer der påvirker stabiliteten Kompatibilitet Administrationsvej Bibliografi pdf
   Kemisk struktur  

Handelsnavn   Handelsnavn     

Handel navne er vejledende og hjælpestoffer sammensætning kan være forskellig afhængigt af landet og laboratorier

Bagotaz Argentina
Betampil Ecuador
Bioval Chile
Petezam Argentina
Piperac Tyskland
Piperacillin tazobactam Belgien, Canada, Tyskland
Piperazam Brasilien
Pipetazo Chile
Pipitaz Østrig
Pixamol Colombia
Tazobac Ecuador, Italien, Portugal, Schweiz
Tazocel Spanien
Tazocilline Frankrig
Tazocin Argentina, Australien, Brasilien, Colombia, Danmark, Finland, Forenede Arabiske Emirater, Grækenland, Holland, Italien, Kroatien, Luxemborg, Marokko, Mexico, New Zealand, Nordirland, Norge, Polen, Storbritanien, Sverige, Sydafrika, Tyrkiet, Ungarn, Ægypten
Tazonam Chile, Østrig
Tazopip Australien
Tazpen Colombia, Mexico
Tazrobida Colombia
Tigux Chile
Tratac Chile
Trital Ecuador
Zosyn Japan, USA
Administrationsvej   Administrationsvej :Piperacillin sodium / tazobactam     
Voie
Intravenøs infusion

  Mentions Légales