Ultimo aggiornamento :
27/04/2026
Antibiotico   Piperacillin sodium / tazobactam  
Iniezione
Stabilità in soluzione Stabilità in miscela Fattori che influenzano la stabilità Compatibilità metodo di iniezione Bibliografia pdf
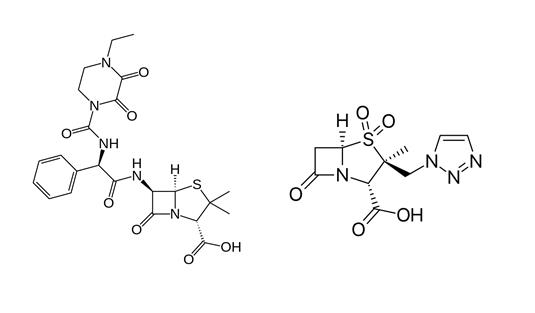
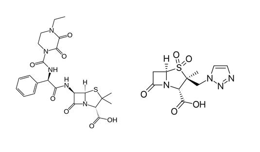
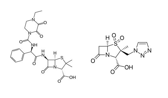
   Struttura chimica  

Nome commerciale   Nome commerciale     

Trade names are indicative and excipients composition can be different depending on the country and manufacturers

Bagotaz Argentina
Betampil Ecuador
Bioval Chile
Petezam Argentina
Piperac Germania
Piperacillin tazobactam Belgio, Canada, Germania
Piperazam Brasile
Pipetazo Chile
Pipitaz Austria
Pixamol Colombia
Tazobac Ecuador, Italia, Portogallo, Svizzera
Tazocel Spagna
Tazocilline Francia
Tazocin Africa del Sud, Argentina, Australia, Brasile, Colombia, Croazia, Danimarca, Egitto, Emirati Arabi Uniti, Finlandia, Gran Bretagna, Grecia, Irlanda del Nord, Italia, Lussemburgo, Messico, Norvegia, nuova Zelanda, Paesi Bassi, Perù, Polonia, Svezia, Turchia, Ungheria
Tazonam Austria, Chile
Tazopip Australia
Tazpen Colombia, Messico
Tazrobida Colombia
Tigux Chile
Tratac Chile
Trital Ecuador
Zosyn Giappone, Stati Uniti d’America
metodo di iniezione   metodo di iniezione :Piperacillin sodium / tazobactam     
Voie
Flebo endovenosa

  Mentions Légales