Cập nhật lần cuối :
27/01/2026
Thuốc chống đông   Heparin sodium  
Dạng tiêm
Tính ổn định của các dung dịch Độ ổn định khi trộn lẫn Những yếu tố ảnh hưởng đến độ ổn định Khả năng tương thích Đường dùng Tài liệu tham khảo Pdf
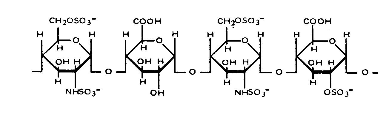
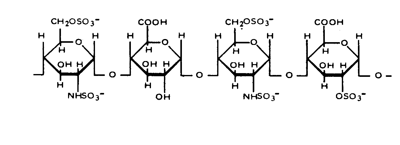
   Cấu trúc hóa học  

Tên thương mại   Tên thương mại     

Các tên thương mại được cung cấp và thành phần tá dược có thể khác nhau giữa các quốc gia và các hãng dược

Arapin Chile
Ateroclar Ý
Clarisco Ý
Epsoclar Ý
Hepaflex Na Uy, Phần Lan
Hepamax Chile, Colombia, Ecuador
Heparin Anh, Áo, Canada, Cộng hòa Nam Phi, Hà Lan, Hoa Kỳ, Hungary, Hy Lạp, Na Uy, Nga, Phần Lan, Serbia, Thái Lan, Thổ Nhĩ Kỳ, Thụy Sỹ, Thụy Điển, Đan Mạch
Heparine Bỉ, Pháp
Heparinised Úc
Heparstad Đức
Liquemin Thổ Nhĩ Kỳ, Thụy Sỹ
Liquemine Brazil
Monoparin Ả Rập Saudi
Normoparin Ý
Nuparin Ecuador
Pharepa Ý
Riveparin Argentina
Sobrius Argentina, Ecuador
Thrombophob Đức
Đường dùng   Đường dùng :Heparin sodium     
Đường dùng
Tiêm tĩnh mạch
Truyền liên tục

  Mentions Légales