最新更新 :
27/01/2026
抗凝固薬   Heparin sodium  
注射薬
溶媒内の安定性 混合時の安定性 安定性に影響する因子 互換性 投与経路 引用文献 PDF
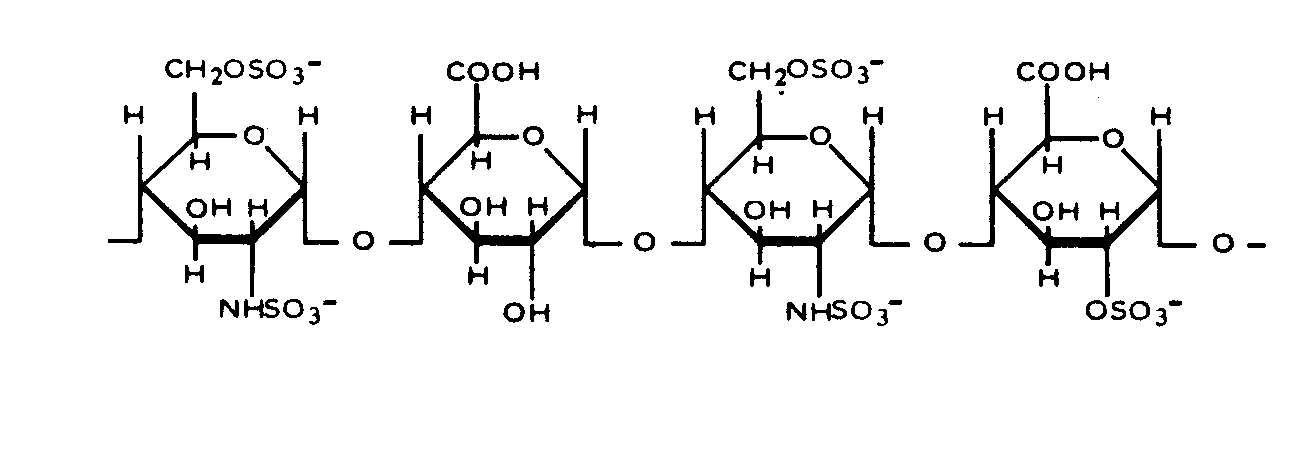
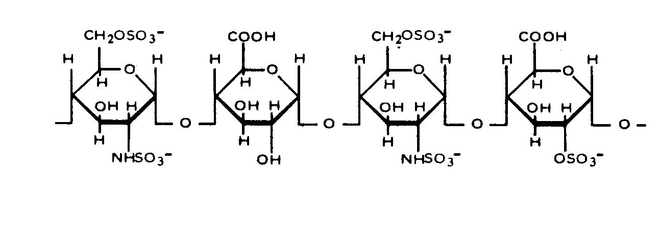
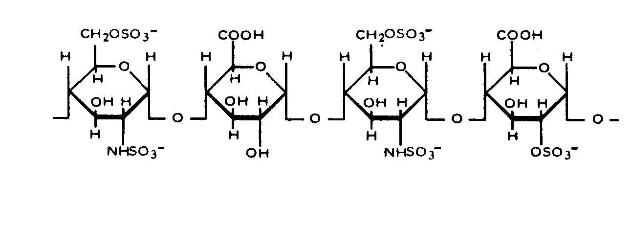
   化学構造  

商品名   商品名     

商品名、賦形剤は国、製薬会社ごとに異なることがあります

Arapin チリ
Ateroclar イタリア
Clarisco イタリア
Epsoclar イタリア
Hepaflex ノルウェー, フィンランド
Hepamax エクアドル, コロンビア, チリ
Heparin アメリカ, イギリス, オランダ, オーストリア, カナダ, ギリシア, スイス, スウェーデン, セルビア, タイ, デンマーク, トルコ, ノルウェー, ハンガリー, フィンランド, ロシア, 南アフリカ共和国
Heparine フランス, ベルギー
Heparinised アーストラリア
Heparstad ドイツ
Liquemin スイス, トルコ
Liquemine ブラジル
Monoparin サウジアラビア
Normoparin イタリア
Nuparin エクアドル
Pharepa イタリア
Riveparin アルゼンチン
Sobrius アルゼンチン, エクアドル
Thrombophob ドイツ
投与経路   投与経路 :Heparin sodium     
経路
静脈内
持続注射

  Mentions Légales