Son güncelleme :
27/01/2026
Antikoagülan   Heparin sodium  
Enjeksiyon
Çözeltilerin stabilitesi Karışımlardaki stabilitesi Stabiliteyi etkileyen faktörler Uyumluluk Uygulama yöntemi Kaynaklar pdf
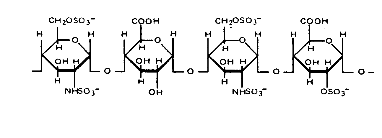
   Kimyasal yapı   

Ticari isim   Ticari isim     

Trade names are indicative and excipients composition can be different depending on the country and manufacturers

Arapin Şili
Ateroclar İtalya
Clarisco İtalya
Epsoclar İtalya
Hepaflex Finlandiya, Norveç
Hepamax Ekvador, Kolombiya, Şili
Heparin Amerika Birleşik Devletleri, Avusturya, Büyük Britanya, Danimarka, Finlandiya, Güney Afrika Cumhuriyeti, Hollanda, İsveç, İsviçre, Kanada, Macaristan, Norveç, rusça, Tayland, Türkiye, Yugoslavya, Yunanistan
Heparine Belçika, Fransa
Heparinised Avustralya
Heparstad Almanya
Liquemin İsviçre, Türkiye
Liquemine Brezilya
Monoparin Suudi Arabistan
Normoparin İtalya
Nuparin Ekvador
Pharepa İtalya
Riveparin Arjantin
Sobrius Arjantin, Ekvador
Thrombophob Almanya
Uygulama yöntemi   Uygulama yöntemi :Heparin sodium     
Voie
İntravenöz
Sürekli infüzyon

  Mentions Légales