Letztes “update” :
27/01/2026
Antikoagulans   Heparin sodium  
Injektion
Stabilität der Lösung Gemengestabilität Stabilitätbeeinflussende Faktoren Kompatibilitäten Applikationsart Literaturverzeichnis pdf
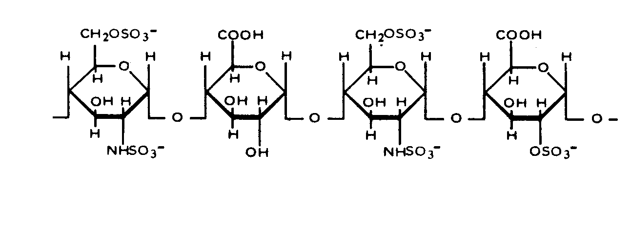
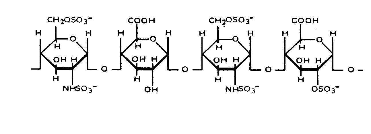
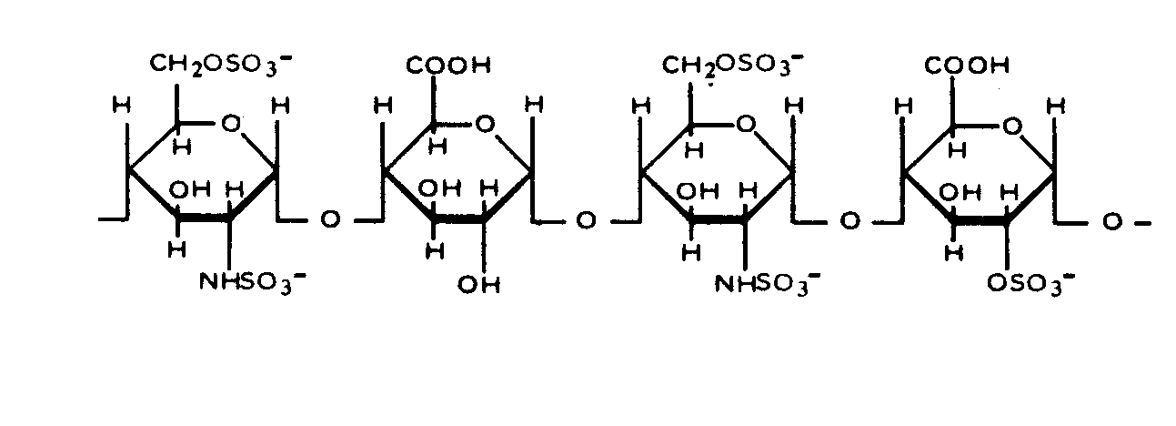
   Chemische Struktur  

Handelsmarke   Handelsmarke     

Handelsnamen sind als beispielhaft anzusehen. Sonstige Bestandteile können je nach Hersteller oder Land verschieden sein

Arapin Chile
Ateroclar Italien
Clarisco Italien
Epsoclar Italien
Hepaflex Finnland, Norwegen
Hepamax Chile, Ecuador, Kolumbien
Heparin Dänemark, Finnland, Griechenland, Großbritannien, Jugoslawien, Kanada, Niederlande, Norwegen, Österreich, russisch, Schweden, Schweiz, Südafrika, Thailand, Türkei, Ungarn, Vereinigte Staaten von Amerika
Heparine Belgien, Frankreich
Heparinised Australien
Heparstad Deutschland
Liquemin Schweiz, Türkei
Liquemine Brasilien
Monoparin Saudi-Arabien
Normoparin Italien
Nuparin Ecuador
Pharepa Italien
Riveparin Argentinien
Sobrius Argentinien, Ecuador
Thrombophob Deutschland
Applikationsart   Applikationsart :Heparin sodium     
Verabreichung
Intravenös
Langzeitperfusion

  Mentions Légales